DOI: 10.5216/cab.v11i4.9

PERFIL ELETROFORÉTICO DAS PROTEÍNAS SÉRICAS E DO LÍQUIDO PERITONEAL DE EQUINOS SUBMETIDOS À OBSTRUÇÃO EXPERIMENTAL DO DUODENO, ÍLEO E CÓLON MAIOR


Paula Alessandra Di Filippo,1 Andressa Francisca da Silva Nogueira,2 Letícia Abraão Anai,3 Aracelle Elisane Alves,4 Áureo Evangelista Santana5 e Gener Tadeu Pereira6

1. Professora doutora associada do Centro de Ciências e Tecnologias Agropecuárias da Universidade Estadual do Norte Fluminense “Darcy Ribeiro”/UENF, Campos dos Goytacazes, RJ. E-mail: paula_difilippo@yahoo.com.br
2. Doutoranda em Medicina Veterinária pela FCAV/UNESP, Jaboticabal, SP
3. Mestranda em Cirurgia Veterinária pela FCAV/UNESP, Jaboticabal, SP
4. Doutora em Cirurgia Veterinária pela FCAV/UNESP, Jaboticabal, SP
5. Professor doutor do Departamento de Clínica e Cirurgia Veterinária da FCAV/UNESP, Jaboticabal, SP
6. Professor doutor do Departamento de Ciências Exatas da FCAV/UNESP, Jaboticabal, SP.


    

RESUMO

Com o objetivo de avaliar as alterações no proteinograma sérico e peritoneal de equinos submetidos a um modelo experimental de obstrução intestinal, distribuíram-se vinte e quatro animais em quatro grupos: controle instrumentado (GI), obstrução do duodeno (GII), íleo (GIII) e cólon maior (GIV). Foram colhidas amostras de sangue e de líquido peritoneal antes da intervenção cirúrgica (T0), após três horas de obstrução (Ti) e com 1, 3, 12, 24, 72, 120 e 168 horas de reperfusão (Tr). Após centrifugação e fracionamento das amostras, determinaram-se as proteínas totais pelo método de biureto e separaram-se as frações proteicas por eletroforese em gel de agarose. Foram observadas alterações nas concentrações séricas e peritoneais das α, β e γ-globulinas nos animais ensaiados. As alterações deveram-se ao processo inflamatório intestinal desencadeado pelo modelo de obstrução e ao trauma cirúrgico, associado à laparotomia. Animais submetidos à obstrução de duodeno e íleo apresentaram maiores concentrações séricas e peritoneais de proteínas de fase aguda. O fracionamento eletroforético das proteínas contidas no líquido peritoneal é mais sensível no diagnóstico de processos inflamatórios abdominais, quando comparado ao sérico.

PALAVRAS-CHAVES: Cavalos, cólica, proteínas de fase aguda.


ABSTRACT

ELECTROPHORETIC PROFILE OF SERUM AND PERITONEAL PROTEINS OF HORSES SUBMITTED TO  EXPERIMENTAL OBSTRUCTION OF DUODENUM, ILEUM AND LARGE COLON

Aiming at evaluating the electrophoresis profile of serum and peritoneal protein in horses submitted to an experimental model of intestinal obstruction, 24 animals were divided into four groups: instrumented control (GI), duodenum obstruction (GII), ileum obstruction (GIII) and large colon obstruction (GIV). Blood and peritoneal fluid samples were collected before the surgical procedures (T0), 3h after the obstruction (Ti) and 1, 3, 12, 24, 72, 120 and 168h after reperfusion (Tr). After sample centrifuging and fractioning, total protein were determined by biuret method, and the proteic fractions were separated by electrophoresis in agarose gel. Alterations were observed in serum and peritoneal concentrations of α, β and γ globulins on the studied animals. The changes occurred due to the intestinal inflammatory process caused by the obstruction model and the surgical trauma, associated to laparotomy. Animals submitted to duodenum and ileum obstruction showed higher serum and peritoneal concentrations of acute phase proteins. The electrophoretic separation of proteins included in the peritoneal liquid is more sensible when compared to the serum concentration to the diagnosis of abdominal inflammatory process.

KEYWORDS: Acute phase protein, colic, horse.699


INTRODUÇÃO

O paciente equino responde aos distúrbios gastrointestinais (cólicas) e aos traumas cirúrgicos associados à laparotomia através de modificações celulares, teciduais e sistêmicas. Estas modificações incluem alteração no número, estrutura e função das células sanguíneas, desenvolvimento de processos inflamatórios peritoneais e aumento na concentração das proteínas de fase aguda (EURELL et al., 1993).
As proteínas de fase aguda (PFA) são grupos de glicoproteínas sintetizadas pelos hepatócitos, sendo suas produções estimuladas por citocinas específicas, liberadas por leucócitos e macrófagos, com rápidas elevações de sua concentração durante condições inflamatórias (JACOBSEN & ANDERSEN, 2007). Podem ser classificadas em positivas, representadas pela glicoproteína ácida, haptoglobina, ceruloplasmina, macroglobulina e amiloide A, e em negativas, como a albumina e a transferrina, cujos níveis séricos tendem a decrescer em condições inflamatórias (MURATA et al., 2004; CERÓN et al., 2005). De maneira geral, as PFA possuem a finalidade de inibir a continuidade do dano tecidual, isolando e destruindo o organismo agressor e ativando o processo de reparação necessária para o retorno do organismo às funções normais (CERÓN et al., 2005).
Na clínica, os métodos de detecção de proteí­nas de fase aguda têm auxiliado o diagnóstico de processos inflamatórios. Alguns trabalhos comparativos sugerem que as proteínas de fase aguda são mais sensíveis para detecção de processos inflamatórios e infecciosos do que a análise hematológica. De modo geral, o estímulo à síntese de proteína de fase aguda ocorre no período de seis a oito horas após a injúria, sendo que a concentração máxima é alcançada em dois a cinco dias. Porém, o pico e a persistência das concentrações plasmáticas destas proteínas dependem do metabolismo, extravasamento vascular e deposição tecidual (JAIN, 1993).
O fracionamento eletroforético representa um dos mais confiáveis métodos de identificação e quantificação de proteínas dos fluidos corporais (KANEKO et al., 2008). O eletroforetograma de equinos hígidos é caracterizado pela ausência da região pré-albumina, α1-globulinas, α2-globulinas, ß1-globulinas, ß2-globulinas e γ-globulinas. As proteínas que migram na região das α-globulinas são as proteínas de fase aguda, que aumentam imediatamente após inflamação ou infecção (CARAPETO et al., 2006). Aumento nos níveis séricos de haptoglobina foi constatado por EURELL et al. (1993) em pôneis submetidos à laparotomia exploratória. Por sua vez, SAQUETTI et al. (2008) verificaram aumento na concentração das PFA em equinos submetidos à obstrução experimental do cólon menor. Resultados semelhantes foram observados por FAGLIARI et al. (2008) em equinos com cólica e submetidos à laparotomia. Segundo esses autores, os maiores percentuais de elevação apresentados pelos equinos que foram a óbito após a cirurgia deveram-se, possivelmente, ao agravamento do quadro clínico, indicando que a concentração plasmática das proteínas de fase aguda é diretamente proporcional ao grau de lesão.
O objetivo do estudo foi avaliar e comparar possíveis alterações no proteinograma sérico e no líquido peritoneal de equinos submetidos à obstrução experimental do duodeno, íleo e cólon maior.

MATERIAL E MÉTODOS

Utilizaram-se 24 equinos, oito fêmeas (não gestan­tes), dezesseis machos (doze castrados e quatro não castrados), sem raça definida, com média de idade de 6,2±3,0 anos, escore corporal de três a quatro e peso corporal médio de 295,9±32,7kg. Uma semana antes do experimento, após avaliação clínica com o intuito de avaliar o status sanitário, fez-se o controle de endoparasitas (mebendazol (Platelmin Equino – UCB S. A), 50mg kg-1) e de ectoparasitas (deltametrina (Butox P – Intervet S. A) a 0,025%). Os animais foram alojados em piquetes coletivos com dieta à base de feno de coast cross (Cynodon dactylon) e água à vontade. A ração concentrada comercial (Tec Horse – Purina) foi fornecida duas vezes ao dia em quantidade equivalente a 1% do peso corpóreo (2,5 a 3,4kg), adicionada de 50g/dia de suplemento mineral (Omolen Ephos – Purina).
Separaram-se os equinos em quatro grupos de seis animais (duas fêmeas, três machos castrados e um não castrado), sendo um grupo-controle instrumentado (G1, sem realização da obstrução intestinal, porém submetidos aos mesmos procedimentos anestésicos e cirúrgicos descritos para os animais dos demais grupos) e três grupos obstruídos. As obstruções intestinais foram realizadas em três diferentes segmentos: duodeno (GII), íleo (GIII) e cólon maior (GIV).
Os animais foram contidos em brete, e após tricotomia e antisepsia da fossa paralombar foram sedados com acepromazina 1% (Acepran 1% - Univet S.A- 0,025mg kg-1, IV), cloridrato de xilazina 2% (Virbaxil 2% - Virbac - 0,5mg kg-1, IV) e meperidina (Dolosal - Cristália - 4mg kg-1, IM). Ato contínuo procedeu-se à anestesia local infiltrativa, utilizando uma associação (1:1) de lidocaína 2% (Lidovet - Bravet) e de bupivacaína 0,75% (Neocaina 0,75% - Cristália), ambas sem vasoconstritor. Visando mimetizar ao máximo as condições naturais, os animais ensaiados não foram submetidos a jejum hídrico e alimentar prévios.
Com os animais em estação, por meio da laparotomia, flanco direito para duodeno e íleo, e esquerdo para cólon maior, identificaram-se os segmentos intestinais e, em seguida, um dreno de Penrose no 3 foi posicionado ao redor da alça intestinal. Após o seu fechamento, iniciou-se a obstrução intestinal, segundo modelo descrito por DATT & USENIK (1975). Neste momento os animais receberam 1,5mg kg-1, IV de cloridrato de tramadol (Tramal - Cristália) e sequencialmente procedeu-se à sutura simples contínua dos músculos transversos do abdômen e da pele, utilizando-se de vicryl 0 e nylon no 4, respectivamente. As obstruções foram mantidas por três horas e, após este período, promoveu-se a reversão das obstruções, tendo como acesso cirúrgico e protocolo os mesmos utilizados para promovê-las. Removeram-se, então, os drenos e procedeu-se ao fechamento das cavidades abdominais de acordo com a técnica descrita por TURNER & MCILWRAITH (2002).
No pós-operatório, instituiu-se terapia antimicrobiana com penicilina benzatina (Pentabiótico Veterinário Reforçado - Fort Dodge), na dose de 30.000UI kg-1, im a cada 48 horas, perfazendo três aplicações. Como analgésico e anti-inflamatório, administrou-se flunixim meglumine, na dose de 0,5mg kg-1, iv, a cada 24 horas, durante dois dias. Foi realizado curativo da ferida cirúrgica com polivinilpirrolidona-iodo tópica a 1%, duas vezes ao dia até a retirada dos pontos no décimo dia pós-operatório.
Para colheita do líquido peritoneal, realizou-se a paracentese abdominal segundo a técnica de NEVES et al. (2000). Após a colheita, as amostras de líquido peritoneal e as de sangue, obtidas mediante punção da jugular, ambas colhidas em frascos estéreis sem anticoagulante, foram centrifugadas e, após a dosagem das proteínas totais, acondicionaram-se as alíquotas remanescentes em flaconetes, identificadas e armazenadas a -20°C até o momento da análise eletroforética. Obtiveram-se as proteínas totais (método de Biureto), do soro e do líquido peritoneal com o auxílio de um conjunto de reagentes (Abtest - Sistema de Diagnósticos Ltda. – Lagoa Santa, Brazil.) e leituras espectrofotométricas (Labquest – Labtest). O volume globular foi obtido em tubos de micro-hematócrito centrifugados a 14.000G, por cinco minutos com posterior leitura em escala especial.
O fracionamento eletroforético das frações proteicas do soro e do líquido peritoneal foi obtido de acordo com o procedimento que se segue. Após o preenchimento da cuba com 80 ml de tampão tris, pH 9,5 a 4°C, no filme de agarose (CELM – Cia. Equipadora de Laboratórios Modernos – São Paulo, Brazil.), aplicaram-se alíquotas de 0,4µL das amostras. Em seguida, colocou-se o filme de agarose em suporte apropriado com a extremidade, onde foram colocadas as amostras voltadas para o polo negativo. Colocou-se o “cassete” de modo a apoiar-se na cuba, conectada a uma fonte (90 volts), durante vinte minutos. Em seguida, mergulhou-se o filme em 200 mL de corante negro de amido, onde permaneceu por cinco minutos, seguido por mais cinco minutos no descorante à base de ácido acético a 5%. O filme foi colocado em estufa, a 60ºC, até que ficasse completamente seco. Em seguida, passou por nova fase de descoloração com banhos sucessivos de ácido acético a 5%, seguidos de nova secagem a 60ºC. Uma vez obtido o eletroforetograma, caracterizado pela migração das frações proteicas (albumina, α, β e γ-globulinas) no gel de agarose, realizaram-se leituras densitométricas através do programa SDS-60, cujos valores absolutos e relativos, de cada fração, foram finalmente obtidos.
Para cada equino, obtiveram-se as amostras de sangue e de líquido peritoneal antes do início do procedimento cirúrgico (T0), após três horas de obstrução (Ti) e após 1, 3, 12, 24, 72, 120 e 168 horas de reperfusão ou pós-operatório (Tr). O ensaio foi aprovado pela Comissão de Ética e Bem-Estar Animal, protocolo no 023232-05.
Utilizou-se um delineamento experimental inteiramente casualizado, com quatro grupos submetidos a avaliações em nove momentos. Quando se constatou significância entre grupos e momentos, aplicou-se o teste de Tukey (P<0,05) para a comparação das médias, através do programa estatístico SAS (Statistical Analysis of System – versão 8.).

RESULTADOS E DISCUSSÃO

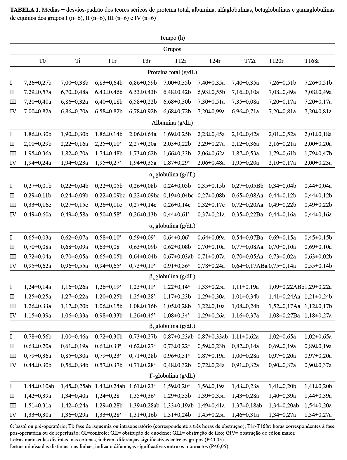
Os resultados obtidos para os constituintes do proteinograma sérico e peritoneal, com as respectivas médias, desvios-padrão e estatística calculada estão expressos nas Tabelas 1 e 2.
Durante toda a fase experimental, os valores das proteínas totais encontrados no sangue dos animais dos quatro grupos experimentais assemelharam-se aos valores de normalidade descritos na literatura (LASSEN & SWARDSON, 1995), que estão em torno de 7,2 g/dL. Entretanto, no líquido peritoneal dos animais dos grupos GII, nos T3r, T12r, T72r, T120r e T168r, e nos do grupo GIII, nos T3r, T12r, T72r e T168r, houve aumento nos valores das proteínas totais. Os resultados foram associados à lesão entérica (MOORE & MOORE, 1994; LOPES et al., 1999), resultante do modelo de obstrução.
Resultados semelhantes foram obtidos por DATT & USENIK (1975) em equinos submetidos à obstrução experimental de diferentes segmentos intestinais. Segundo estes autores, o aumento da concentração peritoneal de proteína apresentado pelos animais submetidos à obstrução do intestino delgado deveu-se à maior pressão intraluminal e consequente lesão sofrida pela alça intestinal, em função do menor diâmetro desta, quando comparada a segmentos do intestino grosso.
Ensaio realizado por SAQUETTI et al. (2008) em equinos submetidos à obstrução experimental do cólon menor revelou aumento na concentração proteí­na no líquido peritoneal e, segundo estes autores, os resultados deveram-se não somente à lesão intestinal desencadeada pela obstrução experimental como também ao trauma cirúrgico. O trauma cirúrgico também foi incriminado por EURELL et al. (1993) em pôneis submetidos à laparotomia exploratória. Neste ensaio, ao se analisar os resultados apresentados pelos animais do grupo controle-instrumentado (G1) ao longo do período experimental, pode-se afirmar que o trauma cirúrgico, associado à laparotomia, também contribuiu para os altos valores de proteínas apresentados.
Valores aumentados de proteínas no líquido peritoneal de equinos com cólica também foram verificados por SVENDSEN et al. (1979) e, segundo SANTSCHI et al. (1988) e BARRELET (1993), os valores de proteína encontrados são, até certo ponto, proporcionais à intensidade e à extensão do processo inflamatório. Valores superiores a 2,5g/dL para proteína indicam lesão vascular progressiva nas vísceras abdominais.
No eletroforetrograma sérico constatou-se aumento nos valores das α-globulinas nos equinos dos grupos GII e GIII, no T72r (Tabela 1). Valores aumentados das α-globulinas também foram observados no líquido peritoneal dos animais dos referidos grupos, entretanto as alterações iniciaram-se a partir da 3a hora de reperfusão (T3r) e perduraram por todo o período experimental (T168r). A primeira fração α a migrar para o foco inflamatório foi a α1-globulinas, seguida da α2-globulinas, que, com exceção dos ruminantes, é um achado normal em muitas espécies de animais, como descrito por KANEKO et al. (2008). As α1-globulinas (α1-antitripisina e a α1-glicoproteína ácida) são induzidas principalmente pelas citocinas IL-1 e caracterizam-se por elevarem-se precocemente após infecção ou lesão tecidual e normalizarem-se rapidamente após o término do estímulo. Por sua vez, as α2-globulinas (α2-macroglobulina, ceruloplasmina, amiloide A e haptoglobina), induzidas pela IL-6, elevam-se mais tardiamente e, segundo MURATA et al. (2004) e CERÓN et al. (2005), assim permanecem por várias semanas.
Na avaliação ao longo do período experimental, nos animais do GI, GII, GIII e GIV observa-se que as α-globulinas, séricas e peritoneias, elevaram-se após o T0 e assim permaneceram até o término da avaliação (T168), demonstrando que o período estudado não permitiu avaliar por quanto tempo as concentrações dessas proteínas manter-se-iam alteradas. Ademais, tais resultados corroboram as afirmações anteriores de que o trauma cirúrgico, acrescido ou não da obstrução intestinal, deflagra estímulo para a síntese das proteínas de fase aguda.
Aumento nas concentrações das α-globulinas também foi observado por CARAPETO et al. (2006) em equinos com cólica, entretanto unicamente nos que apresentavam um componente inflamatório na patogênese do distúrbio primário (enterite aguda, enterite proximal e colite) e sinais característicos de endotoxemia (febre, depressão, anorexia, leucopenia e presença de neutrófilos tóxicos). Por sua vez, VANDENPLAS et al. (2005) observaram que equinos com cólica que não sobreviveram apresentavam níveis de α2-globulinas, especificamente amiloide A, superiores aos que sobreviveram. Além disso, AUER et al. (1989) demonstraram que equinos com endotoxemia, forma grave, apresentaram aumento da α2-macroglobulina. Por fim, FAGLIARI & SILVA (2002) e SAQUETTI et al. (2008) observaram aumento das frações α1-antitripsina, α-antiquimotripsina, cerulosplasmina, haptoglobina e da α1-glicoproteína ácida em equinos com cólica submetidos à laparotomia para correção de torção de cólon maior, compactação de cólon maior e encarceramento nefroesplênico de cólon maior, e em animais submetidos à obstrução experimental do cólon menor, respectivamente.
A fração ß do ensaio eletroforético consiste em numerosas proteínas (hemopexina, transferrina, ferritina, fibrinogênio, complemento, proteína C-reativa e amiloide A) que apresentam pico entre sete e dez dias após o estímulo inflamatório e que, segundo MURATA et al. (2004), podem permanecer elevadas por várias semanas. Neste ensaio, na comparação entre grupos, houve aumento na fração ß no sangue e no líquido peritoneal dos animais dos grupos GII e GIII e, à semelhança do observado para as α-globulinas, as alterações detectadas no líquido peritoneal iniciaram-se mais precocemente (T12r) e permaneceram por todo o período experimental (T168r).
Ensaio realizado por FAGLIARI et al. (2008) revelou que os maiores percentuais de elevação nos níveis de fibrinogênio e de proteína-C reativa foram apresentados pelos equinos com cólica que foram a óbito sete a dez dias após laparotomia com sinais de choque séptico. Por sua vez, SAQUETTI et al. (2008) observaram aumento na concentração peritoneal de proteína-C reativa em equinos submetidos à obstrução experimental do cólon menor.
Em contraste com os resultados obtidos por FAGLIARI & SILVA (2002), CARAPETO et al. (2006) e por FAGLIARI et al. (2008), foram observados aumentos nas concentrações peritoneais das γ-globulinas nos animais dos grupos GII e GIII, nos T24r, T72r a T168r. As proteínas da fração γ consistem, principalmente, em imunoglobulinas (IgA, IgM, IgG e IgE) sintetizadas pelo sistema imunológico em resposta a estímulo antigênico, principalmente viral e, segundo PETERSEN et al. (2004), uma poligamopatia também pode ser observada em doenças inflamatórias crônicas.
O aumento da gamaglobulina pode estar relacionado à ativação policlonal inespecífica das células B. Isto porque o aumento da produção de IL-6, entre outras interleucinas, pode causar uma ativação policlonal inespecífica das células B, resultando na produção de articorpos contra os imunógenos contidos nos bancos de memória individuais, como explicaram FLYNN et al. (1994). Creditando essas afirmações, havia aumento das α2-globulinas, as quais, segundo MURATA et al. (2004), são induzidas exclusivamente pela IL-6.
Adicionalmente, tem-se que a IgA em animais domésticos atua como anticorpo secretório dentro do trato intestinal e dos pulmões, sendo capaz de neutralizar vírus e prevenir aderências de patógenos bacterianos aos tecidos-alvo. Presente nas secreções respiratórias, gastrintestinais e genitourinárias e na lágrima e saliva, a IgA é importante para defesa local e proteção das superfícies corporais contra invasões bacterianas e virais (JAIN, 1993).
As diferenças observadas entre os resultados obtidos no proteinograma sérico e peritoneal deveram-se à síntese extra-hepática das proteínas de fase aguda, a qual ocorre especialmente nas células endoteliais e no epitélio de órgãos que se comunica com o meio externo, tais como a glândula mamária, o sistema respiratório e o trato gastrintestinal. Segundo JACOBSEN & ANDERSEN (2007), a determinação dos níveis locais das proteínas de fase aguda, por fornecer informações sobre o status inflamatório/infeccioso de um órgão de particular interesse, aumenta a precisão na elaboração do diagnóstico.
Achados semelhantes foram obtidos por EURELL et al. (1993) em equinos submetidos à laparotomia exploratória. Segundo esses autores, as alterações nas concentrações peritoneais das proteínas de fase aguda foram, quando comparadas às séricas, mais sensíveis no diagnóstico de processos inflamatórios abdominais e estatisticamente correlacionadas a sinais clínicos característicos de complicações pós-operatórias. Entretanto, JACOBSEN et al. (2006) demonstraram que, ao injetar lipopolissacarídeos na articulação de equinos, deflagrava-se uma resposta de fase aguda sérica tão intensa quanto a verificada no líquido sinovial. Porém, verificaram que a resposta inflamatória foi mais intensa quando 3μg de lipopolissacarídeos eram injetados ao invés de apenas 1μg. Concluiu-se que a magnitude e a duração da resposta de fase aguda refletem a extensão do dano tecidual e a severidade do processo inflamatório e/ou infeccioso.
Diferindo dos resultados obtidos por CARAPETO et al. (2006), em equinos com cólica em que os maiores percentuais de elevação dos teores séricos das proteínas proteínas de fase aguda foram associados a sinais de endotoxemia, como a hipertermia, depressão, dor abdominal, anorexia, leucopenia, e à presença neutrófilos tóxicos (citoplasma basofílico e vacuolização), os resultados do proteinograma sérico e peritoneal apresentados pelos animais dos quatro grupos experimentais não foram associados a alterações clínicas e/ou à presença de intercorrências no pós-operatório. Desse modo, pode-se considerar que traçado eletroforético com alta concentração de proteínas de fase aguda nem sempre indica a presença de foco infeccioso durante o pós-operatório ou agravamento do quadro clínico.

CONCLUSÕES

A eletroforese em gel de agarose permitiu detectar alterações nas concentrações séricas e peritoneais das α, β e γ-globulinas nos animais ensaiados. As alterações devem-se ao processo inflamatório intestinal desencadeado pelo modelo de obstrução e ao trauma cirúrgico, associado à laparotomia, porém não foram associadas a alterações clínicas e/ou à presença de intercorrências no pós-operatório. Animais submetidos à obstrução de duodeno e íleo apresentam maiores concentrações de proteínas de fase aguda.
O fracionamento eletroforético das proteínas contidas no líquido peritoneal é mais sensível no diagnóstico de processos inflamatórios abdominais, quando comparado ao sérico.
O período de sete dias permitiu diagnosticar alterações no proteinograma sérico e do líquido peritoneal, porém não foi suficiente para determinar por quanto tempo as alterações se manteriam.

AGRADECIMENTO

À Fundação de Amparo à Pesquisa do Estado de São Paulo (Fapesp), pelo financiamento integral a esta pesquisa (processos no05/58712-0 e 06/55377-8).

REFERÊNCIAS

AUER, D. E.; NG, J. C.; THOMPSON, H. L.; INGLIS, S.; SEAWRIGT, A. A. Acute phase response in horses: changes in plasma cation concentrations after localised tissue injury. Veterinary Record, v. 124, p. 235-239, 1989.

BARRELET, A. Peritoneal fluid: Part 1 - Laboratory analyses. Equine Veterinary Journal, v. 5, p. 81-10, 1993.

CARAPETO, M. V.; BARRERA, R.; CINTA MAÑE, M.; ZARAGOZA, C. Serum α-globulin fraction in horses is related to changes in the acute phase proteins. Journal Equine Veterinary Science, v. 26, p. 120-127, 2006.

CERÓN, J. J.; ECKERSALL, P. D.; SUBIELA, S. M. Acute phase proteins in dogs and cats: current knowledge and future perspectives. Veterinary Clinical Pathology, v. 34, p. 85-99, 2005.

DATT, S. C.; USENIK, E. A. Intestinal obstruction in the horse. Physical signs and blood chemistry. The Cornell Veterinarian, v. 65, n. 2, p. 152-172, 1975.

EURELL, T. E.; WILSON, D. A.; BAKER, G. J. The effect of exploratory laparotomy on the serum and peritoneal haptoglobin concentrations of the pony. Canadian Journal Veterinary Research, v. 57, n. 1, p. 42-44, 1993.

FAGLIARI, J. J.; SILVA, S. L. Hemograma e proteinograma plasmático de equinos hígidos e de equinos acometidos por abdômen agudo, antes e após laparotomia. Arquivo Brasileiro de Medicina Veterinária e Zootecnia, v. 54, n. 6, p. 559-567, 2002.

FAGLIARI, J. J.; SILVA, S. L.; SILVA, P. C.; PEREIRA, G. T. Leucograma e teores plasmáticos de proteínas de fase aguda de equinos portadores de abdômen agudo e submetidos à laparotomia.. Arquivo Brasileiro de Medicina Veterinária e Zootecnia, v. 60, n. 2, p. 322-328, 2008.

FLYNN, J. N.; CANNON, C. A.; LAWRENCE, C. E.; JARRETT, O. Polyclonal B-cell activation in cats infected with feline immunodeficiency virus. Immunology, v. 81, p. 626-630, 1994.

JACOBSEN, S.; ANDERSEN, P. H. The acute phase protein serum amyloid A (SAA) as a marker of inflammation in horses. Equine Veterinary Education, v. 19, n. 1, p. 38-46, 2007.

JACOBSEN, S.; NIEWOLD, T. A.; HALLING-THOMSEN, M.; NANNI, S.; OLSEN, E.; LINDEGAARD, C.; ANDERSEN, P. H. Serum amyloid A isoforms in serum and synovial fluid in horses with lipopolysaccharide-induced arthritis. Veterinary Immunology and Immunopathology, v. 110, n. 3-4, p. 325-330, 2006.

JAIN, N. C. The plasma proteins, dysproteinemias, and immune deficiency disorders. In: JAIN, N.C. Essentials of veterinary hematology. Philadelphia: Saunders, 1993. p. 349-380.

KANEKO, J. J.; HARVEY, J. W.; BRUSS, M. L. Clinical biochemestry of domestic animals. 6. ed. San Diego: Academic Press, 2008. 916 p.

LASSEN, E. D.; SWARDSON, C. J. Hematology and hemostasis in the horse: normal functions and common abnormalities. Veterinary Clinical North American Equine Practice, v. 11, p. 351-389, 1995.

LOPES, M. A. F.; DEARO, A. C. O.; BIONDO, A. W.; GODIN, L. F. P.; IAMAGUTI, P.; THOMASSIAN, A.; KOHAYAGAWA, A. Exame do fluido peritoneal e hemograma de equinos submetidos à laparotomia e infusão intraperitoneal de carboximetilcelulose. Ciência Rural, v. 29, p. 79-85, 1999.

MOORE, B. R.; MOORE, R. M. Examination of the equine patient with gastrointestinal emergency. Veterinary Clinical North American Equine Practice, v. 10, p. 549-566, 1994.

MURATA, H.; SHIMADA, N.; YOSHIOKA, M. Current research on acute phase proteins in veterinary diagnosis: an overview. Veterinary Journal, v. 168, p. 28-40, 2004.

NEVES, M. M.; MARQUES Jr, A. P.; ALVES, G. E. S.; FARIA, E. P. Valores referenciais da análise do líquido peritoneal de equinos sadios. Ciência Rural, v. 30, n. 5, p. 809-811, 2000.

PETERSEN, H. H.; NIELSEN, J. P.; HEEGAARD, P. M. H. Application of acute phase protein measurements in veterinary clinical chemistry. Veterinary Research, v. 35, p. 163-187, 2004.

SANTSCHI, E. M.; GRINDEM, C. B.; TATE, L. P. JR.; CORBETT, W. T. Peritoneal fluid analysis in ponies after abdominal surgery. Veterinary Surgery, v. 17, p. 6-9, 1988.

SAQUETTI, C. H. C.; FALEIROS, R. R.; MACORIS, D. G.; FAGLIARI, J. J.; SILVA, S. L. Perfil eletroforético do proteinograma sérico de equinos com obstrução experimental do cólon menor. Arquivo Brasileiro de Medicina Veterinária e Zootecnia, v. 60, p. 794-799, 2008.

SVENDSEN, C. K.; HJORTKJAER, R. K.; HESSELHOLT, M. Colic in the horse: a clinical and clinical chemical study of 42 cases. Nordisk Veterinaermedicin, v. 31, p. 1-32, 1979.

TURNER, A. S.; MCILWRAITH, C. W. Laparotomia do flanco e exploração abdominal.  In:_____. Técnicas cirúrgicas em animais de grande porte. São Paulo: Roca, 2002. p. 237-242.

VANDENPLAS, M. L.; MOORE, J. N.; BARTON, M. H.; ROUSSEL, A. J.; COHEN, N. D. Concentrations of serum amyloid A and lipopolysaccharide-binding protein in horses with colic. American Journal Veterinary Research, v. 66, p. 1509-1516, 2005.


Protocolado em: 27 abr. 2010.  Aceito em: 20 set. 2010.