DOI: 10.1590/1809-6891v21e-54719


Estimativa de área da lâmina foliar de Digitaria pentzii sob diferentes alturas de corte


Leaf blade area estimate of Digitaria pentzii under different cutting heights


Raul Caco Alves Bezerra1 , Mauricio Luiz de Mello Vieira Leite1* , Mirna Clarissa Rodrigues de Almeida1 , Leandro Ricardo Rodrigues de Lucena1 , Vicente José Laamon Pinto Simões1 , Aldo Torres Sales2

1Universidade Federal Rural de Pernambuco, Unidade Acadêmica de Serra Talhada, Serra Talhada, PE, Brasil
2Instituto Tecnológico de Pernambuco, Recife, PE, Brasil.
*Correspondente - nopalea21@yahoo.com.br


Resumo
Estudos com pastagens necessitam de informações sobre a área foliar, por ser um dos principais parâmetros de avaliação do crescimento das plantas. Desse modo, objetivou-se estimar a área da lâmina foliar do capim-pangolão (Digitaria pentzii Stent.), utilizando métodos não destrutivos por meio de análise de modelos de regressão. O delineamento utilizado foi em blocos casualizados, com três alturas de corte (10, 15 e 20 cm) e quatro repetições. Foram coletadas aleatoriamente 300 lâminas foliares do capim-pangolão e determinados os seus respectivos comprimentos (C) e larguras (L), com uso de paquímetro digital. A área da lâmina foliar do capim-pangolão foi estimada pelo método gravimétrico, sendo utilizados os modelos de regressão linear e potência para explicar a área das lâminas foliares em função do produto do comprimento e máxima largura. A área da lâmina foliar real apresentou valor médio de 18,64 cm², variando de 4,29 a 45,95 cm². A área da lâmina foliar do capim-pangolão, independentemente da altura de corte, foi estimada com melhor acurácia pelo modelo potência. O modelo potência, Ŷ=CL1,007, pode ser usado para estimar a área da lâmina foliar do capim-pangolão com base nos valores de comprimento e largura da lâmina foliar dessa espécie.
Palavras-chave: capim-pangolão; método não destrutivo; modelagem.


Abstract
Pasture studies require information on leaf area, as it is one of the main parameters for evaluation of plant growth. Thus, the objective of this study was to estimate the leaf blade area of pangolão grass (Digitaria pentzii Stent.) using non-destructive methods by regression model analysis. The experimental design consisted of randomized blocks, with three cutting heights (10, 15, and 20 cm) and four replications. Three hundred leaf blades of pangolão grass were randomly collected, and their respective lengths (L) and widths (W) determined using a digital caliper. The leaf blade area of pangolão grass was estimated by the gravimetric method, using linear and power regression models to explain the leaf blade area as a function of the product of L and maximum W. The real leaf blade area presented an average value of 18.64 cm², ranging from 4.29 to 45.95 cm². The leaf blade area of pangolão grass, regardless of cutting height, was estimated with greater accuracy by the power model. The power model, Ŷ=LW1.007, can be used to estimate the leaf blade area of pangolão grass based on leaf blade L and W values.
Keywords: modeling; non-destructive method; pangolão grass.

Seção: Zootecnia

Recebido
31 de agosto de 2018.
Aceito
14 de outubro de 2019.
Publicado
22 de abril de 2020.

www.revistas.ufg.br/vet
Como citar - disponível no site, na página do artigo

Introdução

O capim-pangolão (Digitaria pentzii Stent.) é uma gramínea originária da região do Zimbábue, na África. É uma espécie adaptada a uma ampla diversidade de solos, necessitando de precipitação pluvial média anual superior a 380 mm e temperatura do ar entre 14 e 34 °C para seu estabelecimento e desenvolvimento(1).

A folha é a estrutura morfológica de interceptação de luz para a fotossíntese, responsável pelas trocas gasosas e produção de carboidratos, lipídeos e proteínas(2). Assim, a determinação da área foliar é uma ferramenta utilizada para avaliar diversos processos que ocorrem na planta, como razão de área foliar, área foliar específica e índice de área foliar(3-4).

A área foliar pode ser estimada de forma direta e indireta, destrutiva e não destrutiva. Na estimativa de forma direta destrutiva, utiliza-se elevada mão de obra e todas as folhas da planta são coletadas. O método direto e não destrutivo depende de equipamentos, na maioria das vezes, caros(5). Os métodos indiretos e não destrutivos permitem avaliar uma mesma planta sucessivas vezes de forma rápida, tornando-se mais convenientes, pois são menos danosos, já que há uma preservação das folhas(6-7-3).

A modelagem estatística utilizando as dimensões lineares como variável explicativa para estimar a área foliar real tem se mostrado muito útil e de baixo custo no estudo de crescimento e desenvolvimento das plantas, eliminando a necessidade de equipamentos caros ou a realização de demoradas reconstruções geométricas(8). Diversos estudos têm sido realizados para diversas culturas: Urochloa mosambicensis(9), Brachiaria brizantha e Panicum maximum(10), maracujazeiro(11), videira(3), mangueira(12), abacaxizeiro(13) e têm gerados modelos com elevadas precisões.

As características agronômicas do capim-pangolão têm sido estudadas, porém estudos com estimativa de área da lâmina foliar desta gramínea ainda são escassos. A fim de suprir essa informação, objetivou-se estimar a área da lâmina foliar do capim-pangolão, utilizando métodos não destrutivos por meio de análise de modelos de regressão.

Materiais e métodos

A pesquisa foi realizada de fevereiro a julho de 2018 pelo Grupo de Estudos em Forragicultura (GEFOR) na Unidade Acadêmica de Serra Talhada da Universidade Federal Rural de Pernambuco, localizada no município de Serra Talhada, nas seguintes coordenadas geográficas (latitude: 7º 56' 15" S e longitude: 38º 18' 45" O) a uma altitude de 429 m. De acordo com Köppen, o clima é tipo BSwh', com média de precipitação pluvial anual de 632 mm ano-¹ e temperaturas do ar superiores a 25 ºC(9).

Foi utilizado um Cambissolo Háplico Ta Eutrófico(14), coletado na profundidade de 0-20 cm do perfil, em seguida, homogeneizado e passado em peneira de 2,0 mm. Posteriormente, cerca de 10,0 kg desse solo foi acondicionado em vasos plásticos com volume de 14,42 dm³, perfurados no fundo e com uma camada de 2,0 cm de brita para drenagem da água de irrigação.

Os atributos químicos do solo utilizado na pesquisa foram caracterizados pela Empresa Pernambucana de Pesquisa Agropecuária (IPA): pH (água) = 7,20; P (extrator Mehlich I) = 40 mg dm-3; K+ = 0,45; Ca2+ = 5,3; Mg2+ = 1,1; Na+ = 0,06; Al3+ = 0,0; H+ = 1,23; SB = 6,91; CTC = 8,14 (cmolc dm-3) e V = 84,89%.

Foram plantados dois perfilhos de capim-pagolão (Digitaria pentzii) por vaso. Todas as plantas foram mantidas em condições de capacidade de campo utilizando o método gravimétrico nos primeiros 30 dias após o plantio (DAP). O conteúdo de água da unidade experimental foi monitorado diariamente de acordo com recomendação de Casaroli e Lier(15).

Aos 31 DAP, com o pleno pegamento das mudas, todas as plantas foram submetidas ao corte de uniformização, conforme os tratamentos (alturas de corte de 10, 15 e 20 cm). Os cortes foram realizados com a utilização de tesoura de poda e régua milimétrica.

Em seguida, todos os vasos receberam uma adubação de fundação de nitrogênio (50 kg de N/ha, na forma de ureia) e fósforo (50 kg de P2O5/ha, na forma de superfosfato simples), correspondendo a 0,77 e 1,94 g/vaso, respectivamente.

Durante todo o período experimental, as plantas foram mantidas sob condição de capacidade de campo, com irrigação a cada dois dias e os vasos foram mantidos livres de plantas invasoras.

O delineamento experimental utilizado foi em blocos casualizados com três alturas de corte (10, 15 e 20 cm) em quatro repetições. Ao término de três ciclos consecutivos de crescimento do capim-pangolão, com intervalos de 35 dias entre os cortes, as plantas foram cortadas (10, 15 e 20 cm) e separadas em material morto (parte necrosada da folha senescente), colmos (incluindo as bainhas foliares) e lâminas foliares.

Aleatoriamente, 300 lâminas foliares verdes foram coletadas, incluindo folhas em expansão e expandidas, sendo 100 de cada tratamento (altura de corte de 10, 15 e 20 cm). As lâminas foliares coletadas estavam totalmente íntegras e em distintos estádios fenológicos de crescimento, conforme metodologias de Leite et al.(9) e Schmildt et al.(3). Todas as lâminas foliares foram numeradas e mensuradas. Utilizando paquímetro digital, foram aferidos o comprimento (C) e a largura (L) de cada folha. O comprimento foi medido ao longo da nervura central, já a largura foi determinada na parte mediana da lâmina foliar. O produto entre C e L (CL) também foi determinado.

Todas as 300 lâminas foliares do capim-pangolão foram desenhadas com uso de grafite e folhas de papel milimetrado. Posteriormente, os desenhos foram recortados e pesados em balança analítica. Um quadrado do papel milimetrado de dimensão conhecida, 10 cm x 10 cm, foi desenhado, recortado e sua massa estimada em 0,630 g. A área foliar real de cada lâmina foliar de capim-pangolão foi calculada de forma proporcional à massa do quadrado conforme metodologia adaptada de Leite et al.(9).

A estimativa da área da lâmina foliar do capim-pangolão foi determinada através do estudo de modelos de regressão, usando como variável resposta (Yi) a área foliar real (AFR) e como variável explicativa (CLi) o produto do comprimento (C) pela largura (L) de cada lâmina foliar. Na análise de modelos de regressão, foram utilizados os modelos: linear com distribuição normal e o modelo potência, assumindo que a resposta da variável resposta esteja no intervalo (-∞;∞).

Sejam Yi a i-ésima área foliar; CLi o produto entre comprimento e a largura da i-ésima lâmina foliar e εi o i-ésimo erro associado a área foliar, em que εi apresenta distribuição normal de média 0 e variância constante σ² > 0 para os modelos linear e potência. β0 e β1 são os parâmetros a serem estimados pelos modelos.

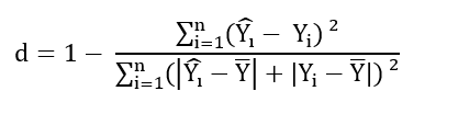
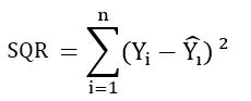
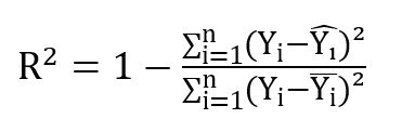
Foram avaliados oito modelos para estimar a área da lâmina foliar do capim-pangolão: dois modelos (linear e potência) para as três alturas de corte e independentemente da altura de corte. Foram adotados quatro critérios para avaliação do desempenho dos modelos: critério de informação de Akaike (AIC), soma de quadrado de resíduo (SQR), índice de Willmott (d) e coeficiente de determinação do modelo (R²).

O critério de informação de Akaike (AIC), conforme Akaike(16), é descrito por:

AIC =-2ln L(x\θ)+ 2(p)

em que L(x\θ) é a função de máxima verossimilhança e p é o número de parâmetros do modelo.

A soma de quadrado de resíduo (SQR) é a soma de quadrado da diferença entre os valores observados e os preditos pelos modelos, em que o menor valor contribui na escolha da melhor equação. Seja (Ŷ1) o valor da i-ésima área foliar após ajuste do modelo, então se define SQR para este estudo pela seguinte expressão:

 

O índice d definido por Willmott(17) é dado por:

em que Y é a média dos valores das áreas foliares (Yi).

O coeficiente de determinação do modelo (R²) é definido por:

 

Resultados e discussão

Verifica-se na Tabela 2 considerável variabilidade para as dimensões lineares [comprimento (C), largura (L), CL e área foliar real (AFR)]. Tal fato pode ser explicado, pois as lâminas foliares (jovens e maduras) foram coletadas aleatoriamente, permitindo, assim, a determinação de uma única equação de área de lâmina foliar, podendo ser utilizada em qualquer estádio fenológico da planta. Para Cargnelutti Filho et al.(18), uma ampla variabilidade proporcionada pela manutenção de valores extremos é importante na modelagem e, consequentemente, na representatividade de modelos. De acordo com Schmildt et al.(3), elevados valores de amplitude são importantes para representar a área foliar por intermédio da análise de modelos de regressão.

Na Tabela 3, observam-se os modelos de regressão e os critérios de adequação dos modelos, considerando como variável explicativa o produto entre comprimento e largura (CL) da lâmina foliar do capim-pangolão. Ambos os modelos de regressão (potência e linear) têm confiabilidade para serem utilizados na determinação de área foliar do capim-pangolão submetido a uma altura de corte de 10 cm.

O poder de explicação do modelo linear para altura de corte de 15 cm foi o que apresentou menor valor. O modelo potência apresentou os melhores critérios de adequação para estimativa de área da lâmina foliar de capim-pangolão submetido à altura de corte de 15 cm, 20 cm e independentemente da altura de corte (Tabela 3).

Os coeficientes de determinação (R²) de todos os modelos apresentaram-se superiores a 0,96 (Tabela 3), indicando que a área foliar de D. pentzii pode ser explicada por esses modelos, resultando em estimativas de alta confiabilidade para essa cultura.

Silva et al.(10), estimando área foliar de U. brizantha cv. 'Xaraés' e Panicum maximum cv. 'Massai', utilizaram CL como variável explicativa e encontraram equações lineares com altos coeficientes de determinação, concluindo que tais medidas são adequadas para estimar área foliar de gramíneas forrageiras tropicais.

Cardozo et al.(19) verificaram que a área foliar de Crotalaria juncea pode ser explicada com alta precisão (R² > 97%) com base nas medidas lineares. Queiroz et al.(20) estimaram a área foliar de espécies florestais (braúna e craibeira) utilizando o produto CL como variável explicativa gerando maior coeficiente de determinação. Leite et al.(9) verificaram que o modelo potência apresentou as melhores estimativas da área foliar de capim-corrente utilizando CL como variável explicativa.

Conclusão

O modelo potência (Ŷ=CL1,007) pode ser usado para determinação da área foliar do capim-pangolão, independentemente da altura de corte, com base no produto dos valores de comprimento (C) e largura (L) da lâmina foliar desta espécie.

Referências

1. Pupo NIH. Manual de pastagens e forrageiras. São Paulo: Instituto Campineiro de Ensino Agrícola. 1987. 343 p.
2. Moraes L, Santos RK, Wisser TZ, Krupek RA. Avaliação de área foliar a partir de medidas lineares simples de cinco espécies vegetais sob diferentes condições de luminosidade. Revista Brasileira de Biociências. 2013;11(4):381-387.
3. Schmildt ER, Hueso JJ, Cuevas J. Allometric models for determining leaf area of vine 'Sugraone'. Ciência e Técnica Vitivinícola. 2014;29:61-81. DOI: http://dx.doi.org/10.25186/cs.v9i2.573
4. Zeist AR, Oliveira JRF, Lima Filho RB, Silva MLS, Resende JTV. Comparação de métodos de estimativa de área foliar em morangueiro. Pesquisa Agropecuária Gaúcha. 2014;20(1/2):33-41.
5. Schmildt ER, Oliari LS, Schmildt O, Alexandre RS, Pires FR. Determinação da área foliar de Passiflora mucronata a partir de dimensões lineares do limbo foliar. Revista Agro@ mbiente On-line. 2017;10(4):351-357.
6. Toebe M, Cargnelutti Filho A, Burin C, Fick AL, Neu IMM, Casarotto G, Alves BM. Modelos para a estimação da área foliar de feijão de porco por dimensões foliares. Bragantia. 2012;71(1):37-41. DOI: 10.5433/1679-0359.2012v33Supl1p2491
7. Sarker SK, Das N, Chowdhury MQ, Haque MM. Developing allometric equations for estimating leaf area and leaf biomass of Artocarpus chaplasha in Raghunandan Hill Reserve. Southern Forests. 2013;75(1):51-57.
8. Schmildt ER, Negris FS, Cesana Júnior E, Schmildt O, Alexandre RS. Equações para estimar área foliar de maracujá amarelo. Nucleus. 2016;13(1):97-104.
9. Leite MLMV, Lucena LRR, Sá Júnior EH, Cruz MG. Estimativa da área foliar em Urochloa mosambicensis por dimensões lineares. Revista Agropecuária Técnica. 2017;38(1):9-16. DOI: https://doi.org/10.25066/agrotec.v38i1.32041
10. Silva WL, Costa JPR, Caputti GP, Galzerano L, Ruggieri AC. Medidas lineares do limbo foliar dos capins xaraés e massai para estimativa de área foliar. Revista Biotemas. 2013;26(3):11-18. DOI: https://doi.org/10.5007/2175-7925.2013v26n3p11
11. Morgado MAD, Bruckner CH, Rosado LDS, Assunção W, Santos CEM. Estimação da área foliar por método não destrutivo, utilizando medidas lineares das folhas de espécies de Passiflora. Revista Ceres. 2013;60(5):662-667. DOI: http://dx.doi.org/10.1590/S0034-737X2013000500009
12. Lima RT, Rodrigues JC, Lima MJA. Modelos para estimativa da área foliar da mangueira utilizando medidas lineares. Revista Brasileira de Fruticultura. 2012;34(4):974-980. DOI: http://dx.doi.org/10.1590/S0100-29452012000400003
13. Francisco JP, Diotto AV, Folegatti MV, Silva LDB, Stefano Piedade SM. Estimativa da área foliar do abacaxizeiro cv. Vitória por meio de relações alométricas. Revista Brasileira de Fruticultura. 2014;36(2):285-293.
14. EMPRESA BRASILEIRA DE PESQUISA AGROPECUÁRIA - EMBRAPA. Centro Nacional de Pesquisa de Solos. Sistema Brasileiro de Classificação de Solos. 3. ed. Brasília: Embrapa Solos, 2013. 353 p.
15. Casaroli D, Van Lier QJ. Critérios para determinação da capacidade de vaso. Revista Brasileira de Ciência do Solo. 2008;32(1):59-66. DOI: http://dx.doi.org/10.1590/S0100-06832008000100007
16. Akaike H. A new look at the statistical model identification. IEEE Transactions on Automatic Control. 1974;19:716-723. DOI: 10.1109/TAC.1974.1100705
17. Willmott CJ. On the validation of models. Physical geography. 1981;2(2):184-194. DOI: 10.1080/02723646.1981.10642213
18. Cargnelutti Filho A, Toebe M, Alves BM, Burin C, Kleinpaul JA. Estimação da área foliar de canola por dimensões foliares. Bragantia. 2015;74(2):139-148.
19. Cardozo NP, Parreira MC, Amaral, CL, Alves PLDCA, Bianco S. Estimativa da área foliar de Crotalaria juncea L. a partir de dimensões lineares do limbo foliar. Bioscience Journal. 2011;27(6):902-907.
20. Queiroz JE, Silva GH, Souza Neto AG. Avaliação estatística da área foliar através de modelos de equações em duas espécies florestais. Revista Verde de Agroecologia e Desenvolvimento Sustentável. 2013;8(1):146-153.