DOI: 10.1590/1809-6891v20e-54208
MEDICINA VETERINÁRIA


AVALIAÇÃO DOS METABÓLITOS FECAIS DE PROGESTERONA E ESTRONA EM OVELHAS DURANTE A GESTAÇÃO

MONITORING OF PROGESTERONE AND ESTRONE FECAL METABOLITES THROUGHOUT GESTATION IN EWES



Rodrigo de Souza Amaral1* ORCID http://orcid.org/0000-0002-0455-2481
Mayara Fonseca Ferreira1 ORCIDhttp://orcid.org/0000-0001-7240-7895
Barbara Luiza Migueis Nunes2 ORCID http://orcid.org/0000-0002-8387-5333
Lais Almeida Gomes1 ORCIDhttp://orcid.org/0000-0002-5992-5839
Arthur Nascimento de Melo3ORCID http://orcid.org/0000-0002-6261-7730



1Instituto Federal de Educação, Ciência e Tecnologia do Amazonas, Manaus, AM, Brasil.
2Universidade Federal de Pelotas. Pelotas, RS, Brasil.
3Universidade Federal de Sergipe, Nossa Senhora da Glória, SE, Brasil.
*Autor para correspondência – rodrigo.amaral@ifam.edu.br

Resumo
O objetivo deste estudo foi monitorar os níveis de metabólitos fecais de progesterona e estrona ao longo da gestação em ovelhas, correlacionando-os com os níveis séricos desses hormônios esteroides. Assim, amostras de fezes e sangue foram colhidas de cinco ovelhas no período pré-cobertura e durante a gestação, até duas semanas após o parto. Os níveis séricos de progesterona e estrona e de seus metabólitos fecais foram mensurados por enzimaimunoensaio. Os perfis hormonais séricos e fecais apresentaram correlação positiva significativa para os dois hormônios (R = 0,8572, P < 0,001 para progesterona e R = 0,5893, P < 0,001 para estrona). Os níveis de metabólitos fecais de progesterona apresentaram valores significativamente crescente entre os terços da gestação, corroborando com os níveis séricos e com os relatos da literatura. Adicionalmente, foi possível evidenciar o pico pré-parto de estrona na matriz fecal, porém sem registro na matriz sérica, provavelmente devido ao intervalo de coletas aplicado. Deste modo, este estudo demonstrou a viabilidade do monitoramento dos níveis de progesterona e estrona durante a gestação em ovinos utilizando amostras fecais, possibilitando monitoramento endócrino longitudinal não invasivo durante a gestação nessa espécie.
Palavras-chave: Ovinos; Reprodução; Esteroides; Prenhez; Fezes

Abstract
The aim of this study was to monitor the progesterone and fecal estrone metabolites throughout gestation in ewes correlating with the serum levels of these steroid hormones. Therefore, fecal and serum samples were collected from 5 weeks before mating and gestation until two weeks postparturition. Serum levels of progesterone and estrone and their fecal metabolites were measured by enzyme immunoassay. Serum and fecal hormonal patterns showed a significant correlation for both hormones (R = 0.8572, P < 0.001 for progesterone and R = 0.5893, P < 0.001 for estrone). The fecal progesterone metabolite levels showed significant increasing values among the three thirds of pregnancies, consistent with the serum levels and with the literature. Additionally, the prepartum peak of estrone in the fecal matrix was identified but without observation in the serum matrix due to the blood collection interval used. Therefore, this study demonstrated the viability of progesterone and estrone monitoring throughout gestation using fecal samples, making noninvasive longitudinal endocrine monitoring throughout gestation possible in this species.
Keywords: Feces; Sheep; Reproduction; Steroids; Pregnancy;

Recebido em: 28 de julho de 2018.
Aceito em 17 de junho de 2019.


Introdução

 

 

A ovinocultura é uma das principais criações animais, sendo desenvolvida de maneira crescente em todas as regiões do Brasil(1). Desta forma, a necessidade do aprimoramento dos protocolos de manejo e do uso de biotecnologias reprodutivas são de suma importância para o aumento da quantidade e qualidade da produção(2). O monitoramento hormonal é uma ferramenta que pode ser utilizada no suporte no desenvolvimento das biotecnologias reprodutivas, possibilitando o acompanhamento da resposta endócrina aos protocolos hormonais e biotecnologias aplicadas.

Os ovinos também são muito utilizados na pesquisa como modelo experimental em estudos reprodutivos de artiodátilos ruminantes selvagens e em estudos de neonatologia humana(3-9). Assim, o monitoramento hormonal se torna imprescindível para o entendimento da fisiologia reprodutiva e acompanhamento do desenvolvimento gestacional.

A progesterona é o hormônio responsável pela manutenção da gestação. Nas ovelhas, inicialmente a progesterona é produzida somente pelo corpo lúteo, porém, após aproximadamente 55 dias de gestação, a placenta produz quantidades significativas de progesterona capaz de levar a gestação a termo, independente da presença de um corpo lúteo funcional(10). Os níveis séricos de estrona apresentam uma grande elevação aproximadamente dois dias antes do parto, estando relacionada com os mecanismos de desencadeamento do parto(10).

Entretanto, o avanço tecnológico da produção ovina deve respeitar a crescente preocupação com o bem-estar animal, compreendendo suas vantagens agregadas ao produto final(11). Adicionalmente, o uso de métodos não invasivos para o monitoramento hormonal durante a experimentação animal, ao invés da coleta de sangue, permite a diminuição da manipulação dos indivíduos e a redução dos efeitos deletérios do estresse.

Considerando o metabolismo e as vias de excreção dos metabólitos dos hormônios esteroides reprodutivos(12), alguns pesquisadores avaliaram o uso de amostras fecais no monitoramento hormonal em ovinos. Os metabólitos fecais de progesterona foram avaliados durante o ciclo estral e gestação em ovelhas domésticas (Ovis aries)(13, 14) e selvagens (Ovis canadensis)(5) , observando alta correlação entre os metabólitos fecais e os níveis séricos de progesterona. Adicionalmente, Schoenecker et al.(6) também avaliaram os níveis de metabólitos fecais de progesterona e estrona em ovelhas selvagens prenhes, porém os níveis hormonais não foram correlacionados com os níveis séricos.

De acordo com Palme(15), ao utilizar matrizes biológicas alternativas, como as fezes, é imprescindível realizar a validação fisiológica, demonstrando que a técnica utilizada é capaz de detectar as mudanças nos níveis dos metabólitos fecais de esteroides relacionados com as respectivas mudanças nas concentrações séricas desses esteroides.

Dessa forma, o objetivo deste estudo foi monitorar os níveis de metabólitos fecais de progesterona e estrona ao longo da gestação em ovelhas, correlacionando-os com os níveis séricos desses hormônios esteroides.

Material e métodos

 

Foram utilizadas cinco ovelhas adultas saudáveis e cíclicas, todas alojadas no setor zootécnico do Instituto Federal de Educação, Ciência e Tecnologia do Amazonas (IFAM), campus Manaus Zona Leste – CMZL, cidade de Manaus – AM, Brasil (3,081899S; 59,936908W). As coletas das amostras sanguíneas e fecais ocorreram entre os meses de abril e outubro. O manejo diário adotado foi do tipo extensivo, no qual os animais foram mantidos a pasto durante o dia e alojados no aprisco durante a noite, com fornecimento de água ad libitum e sal mineral.

Inicialmente, as fêmeas foram monitoradas durante três semanas. Durante esta fase de pré-acasalamento, amostras de fezes de cada fêmea foram coletadas duas vezes por semana logo após a defecação ou retiradas da ampola retal e amostras de sangue foram coletadas por venopunção da veia jugular uma vez por semana. Em seguida, as fêmeas foram mantidas com um carneiro inteiro em tempo integral e monitoradas diariamente para registro da cobertura, sendo adotado o sistema de monta natural. As gestações foram confirmadas por ultrassonografia 25 dias após a cobertura e os partos foram assistidos.

Após a confirmação da gestação, as amostras de fezes foram continuamente coletadas duas vezes por semana até duas semanas após o parto. Já as amostras de sangue foram coletadas a cada 15 dias durante a fase gestacional e pós-parto. As amostras de sangue foram centrifugadas e o soro separado, sendo, juntamente com as amostras de fezes, armazenados a -20o C até o momento da análise. Por motivos adversos, as amostras de sangue e fezes de uma das ovelhas foram coletadas somente até o 95o dia de gestação.

Todos os procedimentos experimentais foram aprovados pelo Comitê de Ética em Pesquisa no Uso de Animais do IFAM (Protocolo: CEUA.008.02.1928.2206/2017). As amostras fecais foram liofilizadas e posteriormente submetidas ao processo de extração hormonal utilizando metanol 80%, seguindo o protocolo descrito por Palme(15). Em resumo, a quantidade de 0,2g de fezes secas foi pesada e transferida para um tubo de vidro contendo 5mL de metanol a 80%. O tubo foi agitado durante 16h e posteriormente centrifugado, sendo o sobrenadante (extrato fecal) transferido para um tubo plástico e mantido a -20o C. Uma alíquota do extrato fecal foi evaporada e posteriormente ressuspendida em solução tampão (0,04 M NaH2PO4.H2O; 0,06 M Na2HPO4; 0,15 M NaCl; 1,0% BSA; pH 7,0) em mesmo volume.

Para a extração hormonal das amostras de soro foi seguido o protocolo descrito por Rasmussen et al.(16), utilizando éter dietílico e ressuspensão em solução tampão. As amostras extraídas de soro e fezes foram analisadas por enzimaimunoensaio utilizando um protocolo descrito para várias outras espécies(17-19). Foram utilizados os anticorpos CL425 (1:5.000) para progesterona e R522-2 (1:20.000) para estrona total, com os seus respectivos hormônios conjugados com peroxidase (1:160.000; 1:350.000), todos fornecidos pela Universidade de Davis - UC Davis, EUA.

Microplacas de poliestireno de 96 poços de alta adsorção (MaxiSorp, Nunc, Rochester, EUA) foram marcadas (50μL/poço) com o anticorpo diluído em solução de marcação (0,015 M Na2CO3.H2O, 0,035 M NaHCO3; pH 9,6), seladas com adesivo de acetato e incubadas a 4o C por 16h. Após a incubação, as microplacas foram submetidas a um ciclo de três lavagens com solução de lavagem (0,15 M NaCl, 0,05% Tween-20).

Foram adicionadas 25μL de solução tampão em cada poço e, posteriormente, 50μL de cada amostra, padrão da curva, ou controle. Imediatamente após, foram adicionadas 50μL de solução de hormônio conjugado com enzima diluída em solução tampão. As microplacas foram seladas e incubadas por 2h em temperatura ambiente.

Após a incubação as microplacas foram lavadas sendo posteriormente adicionados 100μL/poço de solução de substrato (250µL de 0,016 M Tetrametilbenzidina em dimetilsufóxido; 50µL de 0,1752 M H2O2; 11mL de tampão substrato [0,01 M C2H3Na; pH 5,0]). A reação cromógena foi interrompida com 50μL de solução ácida (4,0 M H2SO4). A densidade óptica de cada poço foi medida em uma leitora de microplacas utilizando um filtro de 450nm.

Todas as amostras, controles e padrões foram analisados em duplicata. As sensibilidades dos ensaios de progesterona e estrona foram de 0,07 ng/mL e 0,08 ng/mL, respectivamente. Os coeficientes de variação intra e interensaios dos controles alto (70% de ligação) e baixo (30% de ligação) foram <10,35% para ambos os ensaios e todos os ensaios apresentaram paralelismo entre diluições seriadas das amostras e a curva padrão do ensaio hormonal. Os níveis de progesterona sérica foram apresentados em ng/mL e os níveis de estrona em pg/mL, já os resultados dos metabólitos fecais de progesterona e estrona foram corrigidos e apresentados em ng/g de fezes secas.

Para a padronização dos dados, somente os resultados hormonais das amostras entre 21 dias antes da cobertura e 15 dias após o parto foram utilizadas. Os dados hormonais foram alinhados considerando-se o dia da cobertura. Posteriormente, os dados foram agrupados semanalmente e a média e desvio padrão de cada hormônio foi calculado, bem como o perfil hormonal traçado. A correlação entre os níveis hormonais séricos e seus metabólitos fecais foi calculada (Correlação de Pearson). Os níveis hormonais também foram separados em três terços da gestação e comparados estatisticamente (teste Kruskal-Wallis e teste de Tukey como pós-teste; Programa Bioestat, IDSM). Um valor de probabilidade de P<0,05 foi considerado significante.

 

Resultados

 

 

A duração média da gestação foi de 147,2±6,5 dias, variando de 143 a 157 dias, totalizando aproximadamente 21 semanas. Em uma das cinco ovelhas a gestação foi gemelar.

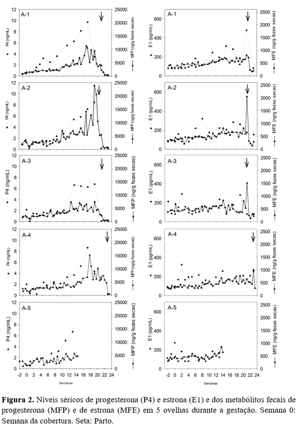
Os perfis hormonais séricos e fecais apresentaram correlação positiva significativa (R = 0,8572, P < 0,001 para progesterona e R = 0,5893, P < 0,001 para estrona) (Figura 1).

 

A fêmea com gestação gemelar (Figura 2, A-1) não apresentou valores hormonais discrepantes das demais fêmeas. Para a fêmea com gestação gemelar, os níveis séricos de progesterona e seus metabólitos fecais durante a gestação variaram de 0,7 a 9,7 ng/mL e 1.489,0 a 11.324,8 ng/g de fezes secas, respectivamente, e para as demais fêmeas foi de 0,2 a 8,6 ng/mL e 1.254,2 a 23.931,8 ng/g de fezes secas, respectivamente. Já para estrona sérica e seus metabólitos fecais os valores para a fêmea de gestação gemelar foram de 80,0 a 479,2 pg/mL e 335,5 a 803,3 ng/g de fezes secas, respectivamente, e para as demais fêmeas foram de 80,0 a 323,8 pg/mL e 206,9 a 2.044,9 ng/g de fezes secas, respectivamente.

Todas as fêmeas apresentaram, a partir do momento da cobertura, um perfil crescente dos níveis séricos de progesterona durante a gestação, com posterior queda até os níveis basais após o momento do parto (Figura 2). O mesmo perfil foi observado nos níveis dos metabólitos fecais de progesterona (Figura 2). Já os níveis séricos de estrona apresentaram um perfil com tendência crescente durante a gestação, apresentando valores mais elevados na semana do parto, sendo que este pico hormonal na semana do parto foi mais evidente nas amostras fecais (Figura 2).

Ao comparar os níveis hormonais entre os três terços da gestação nos animais de gestação única, os níveis de progesterona apresentaram valores significativamente crescentes, tanto na matriz sérica quanto na matriz fecal (P < 0,001, Teste Tukey; Figura 3). Já para estrona, os níveis de metabólitos fecais de estrona também apresentaram valores crescentes, com o terceiro terço da gestação significativamente maior que os terços inicial e médio (P < 0,010, Teste Tukey). A elevação dos níveis séricos de estrona durante a gestação, no entanto, foi discreta sendo que os valores do terceiro terço foram estatisticamente maiores que os do primeiro terço (P < 0,050, Teste Tukey; Figura 3).

Discussão

 

A duração média da gestação das ovelhas monitoradas bem como a variação individual observada corroboram com as relatadas na literatura para a espécie(20). O perfil hormonal sanguíneo durante a gestação em ovelhas já foi anteriormente descrito(21-23), sendo que os níveis de progesterona e estrona sérica durante a gestação obtidos neste estudo corroboraram com os relatos prévios. A alta correlação entre os níveis séricos de progesterona e seus metabólitos fecais durante a gestação também foi observada por Cebulj-Kadunc et al.(14) em ovelhas. Adicionalmente, Borjesson et al.(5) também demonstraram a existência de alta correlação entre os níveis séricos e fecais de progesterona em ovelhas selvagens. Em cabras, Capezzuto et al.(24) também observaram uma alta correlação entre os níveis séricos de progesterona e estradiol e seus metabólitos fecais. Deste modo, os resultados do presente estudo reforçam a vantagem na utilização de amostras fecais ao invés de amostras séricas para o monitoramento de progesterona ao longo da gestação em ovelhas, minimizando o estresse da manipulação dos animais.

Por outro lado, apesar de Schoenecker et al.(6) já terem avaliado os níveis de metabólitos fecais de estrona durante a gestação em duas ovelhas selvagens, não há relatos do nível de correlação entre os níveis séricos de estrona e seus metabólitos fecais. Assim, o presente trabalho demonstra a existência de uma correlação significativa da estrona nas duas matrizes biológicas avaliadas durante a gestação.

De acordo com Palme et al.(12), a principal via de excreção da progesterona e estrona em ovelhas é a fecal, na qual aproximadamente 76% dos metabólitos de progesterona e 88% dos metabólitos de estrona são excretados pelas fezes. Ainda segundo esses autores, a metabolização e excreção destes hormônios pelas fezes ocorrem em menos de 24 h. A rápida metabolização da progesterona e estrona e excreção preferencial pelas fezes justifica a alta correlação observada entre esses hormônios e seus metabólitos fecais.

Ambas as matrizes biológicas apresentaram um perfil significativamente crescente de progesterona durante a gestação, com posterior queda até os níveis basais, corroborando, como esperado, com o relatado na literatura. Segundo Noakes et al.(10), ovelhas com aproximadamente 55 dias de gestação (~7 semanas) apresentam um aumento gradativo nos níveis séricos de progesterona, relacionado com o início da produção desse hormônio pela placenta.

Considerando a atuação endócrina da placenta na produção de progesterona para a manutenção da gestação, segundo Bassett et al.(25), ovelhas com gestações gemelares pode apresentar até o dobro dos níveis sanguíneos de progesterona durante o terço final da gestação quando comparadas com ovelhas de gestações únicas. No presente estudo, somente uma fêmea apresentava gestação gemelar, a qual não apresentou valores hormonais discrepantes das fêmeas com gestação única. A taxa de metabolização e excreção dos metabólitos fecais de progesterona podem sofrer variações entre os indivíduos da mesma espécie(12). Dessa forma, é possível que a inexistência de variações marcantes nos níveis de metabólitos fecais de progesterona entre a fêmea de gestação gemelar e as demais pode estar relacionada com variações individuais de taxa de metabolização. Assim, é recomendada a realização de um estudo mais aprofundado comparando animais de diferentes condições gestacionais para melhor compreensão dos níveis de metabólitos fecais de progesterona em gestações múltiplas em ovinos.

Para estrona, de acordo com Tsang(22), Thompson e Wagner(26) e Noakes et al.(10), os níveis séricos em ovelhas prenhes sofrem uma grande elevação em até dois dias antes do parto, estando relacionada com os mecanismos de indução do parto. Essas informações corroboram com os valores estatisticamente maiores de estrona no terço final da gestação para ambas as matrizes, observados neste estudo. Adicionalmente, foi possível observar uma elevação nos níveis de metabólitos fecais de estrona na semana do parto dos animais monitorados.

Entretanto, apesar dos resultados obtidos na matriz fecal corroborar com o perfil endócrino relatado na literatura, o mesmo não foi claramente observado nos níveis séricos de estrona. Esse fato está relacionado com a baixa frequência de coletas de sangue empregada neste estudo durante a gestação (a cada 15 dias), não possibilitando a amostragem do pico de estrona sérica em todas as fêmeas. Capezzuto et al.(24) também observaram um melhor padrão hormonal dos estrógenos nas amostras fecais do que nas amostras séricas ao avaliar amostras coletadas semanalmente de cabras durante a gestação. Considerando todo o processo de metabolização e excreção dos hormônios envolvidos no presente estudo, já descrito por Palme et al.(12), fica demonstrada a possibilidade de monitorar variações fisiológicas pontuais, como a elevação periparto dos níveis de estrona, utilizando amostras fecais, reduzindo, assim, a intensidade na manipulação e manejo dos animais.

A crescente utilização de ovinos como modelo experimental em estudos reprodutivos de artiodátilos ruminantes selvagens e em estudos de neonatologia humana(3-9) torna o desenvolvimento de técnicas de monitoramento hormonal de maneira não invasiva, como a utilização de amostras fecais, uma importante ferramenta de apoio para esses estudos. Dessa forma, os resultados obtidos no presente estudo demonstram a possibilidade do acompanhamento endócrino de ovelhas prenhes submetidas a protocolos experimentais de neonatologia, minimizando os efeitos deletérios do estresse, bem como traz à luz uma ferramenta a ser utilizada em ovinos selvagens e testada em cervídeos selvagens de difícil manipulação.

 

Conclusão

 

Este estudo evidenciou que as alterações dos níveis de metabólitos fecais de progesterona e estrona durante a gestação refletem as alterações séricas fisiológicas esperadas desses hormônios em ovinos, demonstrando a viabilidade do monitoramento longitudinal não invasivo dos níveis de progesterona e estrona utilizando amostras fecais nesta espécie.

 Agradecimentos

Os autores agradecem o apoio da Coordenação Geral de Produção  (CGP/IFAM-CMZL) no manejo dos animais. Os autores também agradecem a PR-PPGI/IFAM pelas bolsas concedidas (MFF e BLMN: IC-IFAM; RSA: Produtividade/IFAM). Este projeto foi financiado com recursos do edital No 001/2016 PADCIT/PR-PPGI/IFAM.

 Referências

 

1. Martins EC, Magalhães KA, Souza JDF, Guimarães VP, Barbosa CMP, Holanda Filho ZF. Cenário mundial e nacional da caprinocultura e da ovinocultura. Boletim ativos de ovinos e caprinos. 2016;3(2):3-6.
2. Simplício AA, Freitas VJF, Fonseca JF. Biotécnicas da reprodução como técnicas de manejo reprodutivo em ovinos. Revista Brasileira de Reprodução Animal. 2007;31(2):234-46.
3. Oishi PE, Sharma S, Datar SA, Kumar S, Aggarwal S, Lu Q, et al.
Rosiglitazone preserves pulmonary vascular function in lambs with increased pulmonary blood flow. Pediatric Research. 2013;73(1):54-61.
4. Smolich JJ, Mynard JP. Increased right ventricular power and ductal characteristic impedance underpin higher pulmonary arterial blood flow after betamethasone therapy in fetal lambs. Pediatric Research. 2018;83(7):1-6.
5. Borjesson DL, Boyce WM, Gardner IA, DeForge J, Lasley B. Pregnancy detection in bighorn sheep (Ovis canadensis) using a fecal-based enzyme immunoassay. Journal of Wildlife Diseases. 1996;32(1):67-74.
6. Schoenecker KA, Lyda RO, Kirkpatrick J. Comparison of three fecal steroid metabolites for pregnancy detection used with single sampling in bighorn sheep (Ovis canadensis). Journal of Wildlife Diseases. 2004;40(2):273-81.
7. Jabbour HN, Hayssen V, Bruford MW. Conservation of deer: contributions from molecular biology, evolutionary ecology, and reproductive physiology. J Zool. 1997;243(3):461-84.
8. Andrabi SMH, Maxwell WMC. A review on reproductive biotechnologies for conservation of endangered mammalian species. Anim Reprod Sci. 2007;99(3-4):223-43.
9. Thongphakdee A, Berg DK, Tharasanit T, Thongtip N, Tipkantha W, Punkong C, et al. The impact of ovarian stimulation protocol on oocyte quality, subsequent in vitro embryo development, and pregnancy after transfer to recipients in Eld's deer (Rucervus eldii thamin). Theriogenology. 2017;91(1):134-44.
10. Noakes DE, Parkinson TJ, England GCW. Veterinary Reproduction and Obstetrics.
9 ed. London: Saunders Elsevier; 2009. 950 p.
11. Rufino LAL, Araújo AA. Indicadores de bem estar em ovinos e caprinos: uma revisão. Revista Brasileira de Higiene e Sanidade Animal.
2015;9(2):294-8.
12. Palme R, Fischer P, Schildorfer H, Ismail MN. Excretion of infused 14C-steroid hormones via faeces and urine in domestic livestock.
Anim Reprod Sci. 1996;43(1):43-63.
13. Furtado PV. Perfil analítico de estrógenos e progestinas em diferentes matrizes biológicas na espécie ovina (Ovis aries) [Tese]. São Paulo: Universidade de São Paulo; 2007. doi:10.11606/T.10.2007.tde-11042008-092435
14. Cebulj-Kadunc N, Snoj T, Cestnik V. Faecal gestagen, serum and milk progesterone concentrations in ewes of the Jezersko-Solchava breed.
Acta Vet Brno. 2000;69(1):33-7.
15. Palme R. Measuring fecal steroids: Guidelines for practical application. Ann N Y Acad Sci. 2005;1046(1):75-80.
16. Rasmussen FE, Wiltbank MC, Christensen JO, Grummer RR. Effects of fenprostalene and estradiol-17 beta benzoate on parturition and retained placenta in dairy cows and heifers. Journal of Dairy Science. 1996;79(2):227-34.
17. Munro CJ, Stabenfeldt GH, Cragun JR, Addiego LA, Overstreet JW, Lasley BL. Relationship of serum estradiol and progesterone concentrations to the excretion profiles of their major urinary metabolites as measured by enzyme immunoassay and radioimmunoassay. Clin Chem. 1991;37(6):838-44.
18. Graham LH, Schwarzenberger F, Möstl E, Galama W, Savage A. A versatile enzyme immunoassay for the determination of progestogens in feces and serum.
Zoo Biol. 2001;20(3):227-36.
19. Amaral RS, Da Silva VMF, Lazzarini SM, D'Affonseca Neto JA, Ribeiro D, Rosas FCW.
Assessment of sexual maturity in captive Amazonian manatees (Trichechus inunguis). Mar Mamm Sci. 2018;34(1):190-9.
20. Hafez ESE, Hafez B. Reproduction in Farm Animals. 7 ed. Philadelphia: Lippincott Williams & Wilkins; 2000.
509 p.
21. Ranilla MJ, Sulon J, Carro MD, Mantecón AR, Beckers JF.
Plasmatic profiles of pregnancy-associated glycoprotein and progesterone levels during gestation in Churra and Merino sheep. Theriogenology. 1994;42(1):537-45.
22. Tsang CPW. Plasma levels of estrone sulfate, free estrogens and progesterone in the pregnant ewe throughout gestation. Theriogenology. 1978;10(1):97-110.
23. Mukasa-Mugerwa E, Viviani P. Progesterone concentrations in peripheral plasma of Menz sheep during gestation and parturition. Small Ruminant Research. 1992;8(1):47-53.
24. Capezzuto A, Chelini MOM, Felippe ECG, Oliveira CA. Correlation between serum and fecal concentrations of reproductive steroids throughout gestation in goats. Anim Reprod Sci. 2008;103(1-2):78-86.
25. Bassett JM, OXBORROW TJ, SMITH ID, THORBURN GD. The concentration of progesterone in the peripheral plasma of the pregnant ewe. Journal of Endocrinology. 1969;45(3):449-57.
26. Thompson FN, Wagner WC. Plasma progesterone and oestrogens in sheep during late pregnancy: contribution of the maternal adrenal and ovary. J Reprod Fertil. 1974;41(1):57-66.