DOI: 10.1590/1089-6891v20e-47704
ZOOTECNIA
ESTIMATIVAS DE PARÂMETROS GENÉTICOS E DE AMBIENTE PARA MEDIDAS REPETIDAS DE PRODUÇÃO LEITEIRA EM CAPRINOS
ESTIMATES OF GENETIC AND ENVIRONMENTAL PARAMETERS FOR REPEATED MEASURES OF MILK PRODUCTION IN GOATS
George Rodrigo Beltrão da Cruz1* ORCID – http://orcid.org/0000-0002-8480-4625
Daiane Gonçalves dos Santos¹ ORCID – http://orcid.org/0000-0001-9629-0441
Edvaldo Mesquita Beltrão Filho¹ ORCID – http://orcid.org/0000-0002-1940-6356
Evandra da Silva Justino¹ ORCID – http://orcid.org/0000-0001-6888-9334
Aécio Melo de Lima¹ ORCID – http://orcid.org/0000-0002-2874-3047
Paulo Rodrigues Dantas Júnior¹ ORCID – http://orcid.org/0000-0002-2041-4441
¹Universidade Federal da Paraíba, João Pessoa, PB, Brasil.
*Autor para correspondência - georgebeltrao@hotmail.com
Resumo
Objetivou-se com este estudo comparar funções matemáticas no ajuste da curva de lactação média e individual de caprinos e estimar parâmetros genéticos e ambientais para medidas repetidas de produção de leite. Foram utilizadas 183 lactações, sendo 121 de cabras Saanen e 62 de cabras Alpinas, de animais pertencentes ao Laboratório de Caprinocultura e Ovinocultura da UFPB/CCHSA. O controle leiteiro foi realizado em intervalos de sete dias. O ajuste foi feito para curva média utilizando-se seis funções matemáticas: polinomial inversa, linear hiperbólica, gama incompleta, quadrática logarítmica, linear e quadrática, sendo ajustada por processos interativos, através de regressão não linear. Os critérios utilizados para verificar a qualidade do ajuste para cada função foram: coeficiente de determinação ajustado (R2a), percentuais de desvio entre as produções totais observadas e estimadas, percentuais de curvas típicas, desvio médio absoluto e quadrado médio dos resíduos. Verificou-se que qualquer um dos modelos testados pode ser utilizado para estimativas da curva média, porém, para o estudo das curvas individuais, o modelo Gama Incompleto deve ser preferido por apresentar melhores estimativas dos componentes da curva de lactação.
Palavras-chave: cabras leiteiras; curva de lactação; modelos matemáticos
Abstract
The objective of this study was to compare mathematical functions in adjusting the mean and individual lactation curve of goats and to estimate genetic and environmental parameters for repeated measures of milk production. 183 lactations were used, 121 of Saanen goats and 62 of Alpine goats, of animals belonging to the Laboratory of goat and Sheep of UFPB/CCHSA. The milk control was performed at intervals of seven days. The adjustment was made to the mean curve using six mathematical functions: inverse polynomial, linear hyperbolic, incomplete gamma, quadratic logarithmic, linear and quadratic, and adjusted by interactive processes through non-linear regression. The criteria used to verify the fit quality for each function were adjusted coefficient of determination (R2a), percentages of deviation between observed and estimated total yields, percentages of typical curves, mean absolute deviation and mean square of residues. It was verified that any of the models tested can be used for mean curve estimates, but for the study of the individual curves, the incomplete gamma model should be preferred because it presents better estimates of the components of the lactation curve.
Keywords: dairy goats; lactation curve; mathematical models
Recebido em: 4 de julho de 2017.
Aceito em: 20 de abril de 2018.
Introdução
Atualmente, a pecuária de caprinos apresenta-se como atividade promissora no desenvolvimento socioeconômico brasileiro, principalmente nas regiões com maior tempo de estiagem, por proporcionar renda direta ao produtor, além de representar uma excelente fonte alimentar de alto valor biológico. Estima-se que o rebanho caprino brasileiro está representado por aproximadamente 8,9 milhões de cabeças(1), com mais de 90% do rebanho distribuído na região Nordeste.
A caprinocultura leiteira vem ganhando seu espaço no semiárido brasileiro como uma atividade rentável, não exigindo muitos investimentos ou grandes áreas para seu desenvolvimento, sendo apontada como uma alternativa viável, especialmente para agricultores de pequeno e médio portes(2). Devido a sua importância, vislumbra-se grande possibilidade e potencialidade na produção de leite, principalmente pelo potencial reprodutivo e adaptativo desses animais, como também na possibilidade de diminuir os custos de produção através de melhorias no manejo de pastagens, reprodutivo e do rebanho.
O conhecimento da produção de leite durante a vida produtiva de uma cabra é uma das características mais importantes para a eficiência dos sistemas de produção e seleção do plantel, buscando genótipos mais eficientes e rentáveis para o produtor. Para isso, o conhecimento dos aspectos produtivos dos caprinos leiteiros se faz necessário, além de um bom conhecimento da curva de lactação e dos fatores que nela interferem(3).
Assim, surge a necessidade de obtenção de uma grande quantidade de medidas repetidas de lactações, com a finalidade de testar alguns modelos em caprinos leiteiros, pelo fato de a maioria dos modelos matemáticos existentes terem sido desenvolvidos para bovinos leiteiros. Dentre estes, estão os modelos não lineares.
No melhoramento genético animal, a utilização de dados longitudinais, comparando-os a dados pontuais, apresenta algumas vantagens, permitindo melhor utilização das informações, quantificação de fatores específicos de cada dia em que o animal foi mensurado, refletindo em maior precisão no controle dos efeitos de ambiente, além de dispensar o uso de fatores de ajuste ou projeção de lactações parciais para produção na lactação.
Assim, este estudo teve como objetivo comparar funções matemáticas no ajuste da curva de lactação média e individual de caprinos e estimar parâmetros genéticos e ambientais para medidas repetidas de produção de leite.
Material e métodos
Os dados foram coletados no Laboratório de Caprinocultura e Ovinocultura da Universidade Federal da Paraíba, pertencente ao Centro de Ciências Humanas, Sociais e Agrárias, localizado no município de Bananeiras, estado da Paraíba, microrregião do Brejo Paraibano. A altitude local é de aproximadamente 552 metros, situando-se entre as coordenadas geográficas 6°41’11’’ de latitude sul e 35°37’4’’ de longitude, a Oeste de Greenwich, com clima quente e úmido(4). Foram coletados os dados no período de fevereiro de 2009 a fevereiro de 2013. Foram utilizadas 183 lactações, sendo 121 de cabras Saanen e 62 de cabras Alpina.
Os animais foram criados em sistema intensivo, com fornecimento de alimentação volumosa ad libitum à base de capim-elefante (Pennisetum purpureum Schum) e concentrado proteico pela manhã e à tarde após a ordenha. O sal mineral foi fornecido à vontade em cochos. O manejo reprodutivo baseia-se no sistema de monta controlada, com duas estações de monta durante o ano. Utilizou-se o aleitamento artificial, e o desmame foi feito aos 60 dias de idade. O controle sanitário é sistemático.
O controle leiteiro foi realizado a cada sete dias, em duas ordenhas diárias, com intervalo aproximado de 10 horas entre elas. A produção de leite foi anotada em fichas individuais, contendo dados referentes à vida reprodutiva de cada animal. A partir das fichas de produção e reprodução, foi editado um arquivo contendo número da cabra, número da mãe, número do pai, data de nascimento, data de parto, produção de leite diária e data do controle leiteiro. Foram eliminados do arquivo animais com número de controles inferior a quatro e aqueles com grupos contemporâneos com menos de dois animais.
Para o estudo dos efeitos ambientais, considerou-se delineamento inteiramente casualidade, sendo utilizado o seguinte modelo matemático:
Yijk=μ+Ri+Ej+OPk+eijkl
Em que:
Y = variável a ser testada;
µ = média comum para cada tratamento;
Ri = Efeito da raça (i=1,2);
Ej = Efeito da estação de parto (k=1,2);
OPk= Efeito da ordem de parto (1, 2, 3 e 5);
eijkl = erro aleatório associado a cada observação.
As médias das variáveis foram comparadas utilizando o procedimento GLM do programa Statistical Analyses System(5), pelo teste de Duncan ao nível de 5% de probabilidade.
Seis funções matemáticas foram utilizadas para ajustar as lactações, tanto para a curva média como para as lactações individuais:
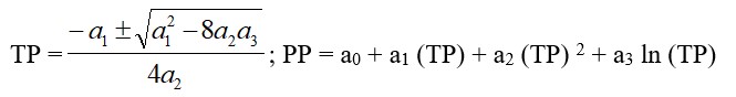
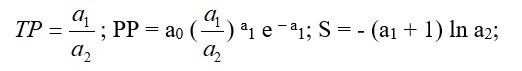
a) Função Polinomial Inversa (FPI): proposta por Nelder(6);
y = x (a0 + a1x + a2x2)- 1
b) Função Linear Hiperbólica (FLH): proposta por Bianchini Sobrinho(7);
y = a0 + a1x + a2x-1
c) Função Gama Incompleta (FGI): proposta por Wood(8);
y = a0 xa1 e–a2x
d) Função Quadrática Logarítmica (FQL): proposta por Bianchini Sobrinho(7);
y = a0 + a1x + a2x2 + a3 lnx
e) Função Linear (FL)
y = a0 + a1x
f) Função Quadrática (FQ)
y = a0 + a1x + a2x2
O ajuste para a curva média foi realizado usando-se a média diária de produção de leite em cada estágio da lactação e usando-se todas as produções em cada estágio. Para as lactações individuais, o ajuste foi realizado considerando a produção de leite em dias. Para estas funções, y representa a produção de leite (kg); a0, a1, a2, e a3 são parâmetros da curva a serem estimados, e x é o estágio da lactação em dias. Os parâmetros das funções foram estimados por meio de técnicas não lineares, usando-se o método modificado de Gauss-Newton disponível no PROC NLIN(5).
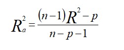
Segundo Afifi & Clark(9), quando se comparam modelos com diferentes números de parâmetros, é adequado utilizar o coeficiente de determinação ajustado ao número de parâmetros de cada modelo, para que estes sejam comparados em condições iguais. De acordo com Draper & Smith(10), a equação a ser utilizada é:

Em que:
R2a= coeficiente de determinação ajustado;
p = número de parâmetros do modelo;
n = número de observações;
R2 = coeficiente de determinação;
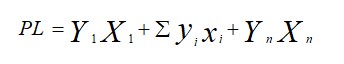
Foi utilizado um gráfico de distribuição dos resíduos para verificar a qualidade do ajuste proporcionado para cada função. Esse gráfico apresenta a dispersão dos resíduos em função do tempo. Se os resíduos apresentam-se distribuídos aleatoriamente em relação à variável classificatória t, é indicativo de um bom ajuste. Caso estes se apresentem em blocos de valores positivos ou negativos, é indicativo de autocorrelação residual, positiva ou negativa e, portanto, o ajuste não é adequado(11). A produção total observada foi obtida pelo método escada corrigido(12), de acordo com a equação:

Em que:
Y1 = produção diária de leite no primeiro controle;
X1 = amplitude do intervalo entre o início da lactação e o primeiro controle;
n = número de dias em lactação no último controle;
yi = produção diária de leite no i-ésimo controle;
xi = amplitude do intervalo entre controles;
Yn = produção diária de leite no último controle;
Xn = amplitude do intervalo entre o último controle e o final da lactação.


Em que Yi é o valor observado, Ŷi o valor estimado e n o tamanho da amostra. Quanto menor o valor do Desvio Médio Absoluto, melhor o ajuste.
O Quadrado Médio do Resíduo (QMR) foi calculado dividindo-se a soma de quadrados do resíduo, pelo número de observações, que é o estimador de máxima verossimilhança da variância residual, para que se possa comparar o quadrado médio do resíduo dos diferentes modelos, visto terem números diferentes de parâmetros a serem estimados(13).
O presente trabalho foi submetido ao CEUA (Comitê de Ética e Uso de Animais) da Universidade Federal da Paraíba e aprovado segundo o protocolo nº 040/2016.
Resultados e discussão
As médias das características produtivas, coeficiente de variação (%) e desvio-padrão de cabras Alpinas e Saanen, de acordo com os estágios de lactações, encontram-se apresentadas na Tabela 1. Observando o nível de produção de leite em função do grupo racial, verifica-se que os animais da raça Saanen apresentam maiores produções, com produção total de 410,93 kg, do que as cabras Alpinas, com 387,88 kg de produção durante toda a lactação.

Serradilla(14) realizou uma revisão e pôde concluir que a produção média de leite em diferentes países, para cabras Alpina e Saanen, varia entre 212 a 573 kg e 212 a 878 kg respectivamente, estando as produções de leite obtidas neste estudo compreendidas entre o intervalo de produção. Essa variação nos níveis de produção leiteira e na curva de lactação de uma cabra pode ser influenciada por fatores como duração da lactação, ano, estação de parto, idade da cabra ao parto, número de lactação, tipo de parto, sistema de produção, alimentação, estado sanitário dos animais, entre outros(15).
Observa-se, na Tabela 2, a produção leiteira nas diferentes fases de lactações e de suas durações. Pode-se constatar que as cabras Saanen produziram maiores quantidades de leite que cabras Alpinas, ao longo da lactação de aproximadamente 6% (P<0,05). Este fato é evidenciado pela produção total de leite, que também apresentou a mesma tendência. Quanto à duração da lactação, observa-se que não houve efeito significativo em função da raça estudada. Assim, nas condições sazonais do Brejo Paraibano, cabras Saanen apresentam-se mais produtivas que cabras Alpinas, produzindo em torno de 23,05 kg de leite a mais.

A produção de leite inicial, no meio da lactação (140 dias), e no final da lactação (259 dias), a produção total de leite e a duração de lactação de cabras Saanen e Alpinas em função da estação de parto podem ser observadas na Tabela 3. Constatou-se que, para as cabras Saanen, a estação de parição influenciou na produção inicial, no meio da lactação e na duração total de lactação. Cabras Saanen paridas na estação seca apresentaram-se com maiores produções do início até o meio da lactação, porém, a duração da lactação foi menor em relação à estação chuvosa. O período de parição não influenciou nas produções e na duração total de lactação das cabras Alpinas.

As cabras Alpinas foram menos afetadas pelo efeito de ambiente, por não terem sido observado efeitos significativos (P>0,05) na produção de leite e na duração total da lactação. Assim, a opção de estações de monta bem definidas pode ser uma boa estratégia para incrementar a produção média anual em um rebanho comercial, considerando características produtivas de cada raça. Dessa forma, animais mais produtivos, com maior tempo de pico e persistência de lactação, poderiam ser utilizados em parições na estação da seca. Por outro lado, animais com parição programada na estação das águas poderiam ser melhor suplementados durante o terço final de gestação, principalmente, e posteriormente ao parto.
Analisando a Tabela 4, pode-se constatar que as cabras de quarta ordem de parto apresentaram, em média, as maiores produções de leite ao longo da lactação, bem como produção total de leite (P<0,05), o que era esperado. Rodrigues et al.(16) observaram que cabras de maior ordem de parto obtiveram maiores produções média diária e total de leite, mesma tendência observadas neste estudo. Assim, indica-se, para as condições em que o trabalho foi desenvolvido, que a seleção de caprinos leiteiros seja efetuada a partir da quarta ordem de parto.

As estimativas dos parâmetros dos modelos estudados e os critérios utilizados para avaliar o ajuste deles para lactação de cabras Alpinas são apresentados na Tabela 5. Pode-se verificar que os valores dos parâmetros foram muito próximos para todos os modelos, com pequena superioridade para o modelo Polinomial Inverso.

Cardona et al.(17) identificaram que o modelo de melhor ajuste para a produção de leite de caprinos das raças Alpino, Saanen e mestiças é o modelo Polinomial Inverso. A mesma tendência também foi observada para o coeficiente de determinação (R2), em que os valores estimados foram praticamente iguais a 0,81. Isto indica que, considerando este parâmetro para a curva média, quaisquer modelos que foram testados poderiam ser utilizados.
Observando os valores de desvio médio absoluto, percebe-se que o menor valor obtido foi para o modelo Gama Incompleto. Assim, para lactações de cabras Alpinas, com os dados obtidos no presente estudo, pode-se afirmar que o modelo Gama Incompleto foi o que apresentou melhor ajuste e, pelo fato de estimar persistência de lactação, deve ser preferido em estudos de curva de lactação de cabras leiteiras.
Ainda com relação aos parâmetros estimados pelos modelos, para lactações de cabra Alpinas, percebeu-se que o parâmetro a0 (Tabela 5), que biologicamente está relacionado às produções iniciais, e considerando os valores apresentados na Tabela 1, com produção inicial real de cabras Alpinas (1,59 kg/dia), verificou-se que a funções Linear Hiperbólica, Gama Incompleta e Linear foram as que apresentaram as melhores estimativas, com superioridade para a Função Gama Incompleta.
As estimativas dos parâmetros dos modelos estudados e os critérios utilizados para avaliar o ajuste dos modelos para lactações de cabras Saanen encontram-se apresentados na Tabela 6. Observou-se que, para a estimativa do quadrado médio de resíduo, os valores são muito próximos para todos os modelos. Essa mesma tendência foi verificada para o valor do coeficiente de determinação. Para os valores de desvio médio absoluto, percebe-se que os menores valores obtidos foram para os modelos Função Linear e Função Quadrática.

Considerando os parâmetros a0, que biologicamente estão relacionados às produções iniciais, assim como para as cabras Saanen, e considerando os valores apresentados na Tabela 1, com produção inicial real de 1,83 kg/dia, observou-se que a melhor estimativa também foi obtida pelo modelo Gama Incompleto. Assim, para lactações de cabras Saanen, de acordo com os dados obtidos no presente estudo, pode-se afirmar que o modelo Gama Incompleto deve ser preferido no estudo de curvas de lactação.
Observou ainda que, para curva média, todos os modelos apresentaram estimativas semelhantes, com ligeira superioridade para o modelo Gama Incompleto (Figura 1A e 1C), que apresentou menores resíduos e consequentemente menores autocorrelações residuais positiva e negativa (Figura 1B e 1D). Assim, de acordo com os resultados obtidos no presente estudo, pode-se indicar o modelo Gama Incompleto como recomendado para a estimativa da curva média de caprinos das raças Saanen e Alpina. Segundo Guimarães et al.(18), o modelo mais comumente utilizado para a estimativa de curvas de lactação é a Função Gama Incompleta, que tem proporcionado bom ajuste das curvas de lactação.

Analisando as estimativas dos componentes da curva de lactação e a quantidade de curvas típicas para cada função por raça em lactações individuais (Tabela 7), observou-se que, para a produção inicial, o modelo Quadrático Logarítmico foi o modelo que mais se aproximou das estimativas reais. Os demais modelos subestimaram as produções iniciais. Ribeiro et al.(19) apontaram que os modelos matemáticos que mais se adequaram à estimativa da produção diária de leite caprino foram as funções Quadrática, Quadrático Logarítmica e Polinômio Segmentado Quadrático-quadrático; já as funções Linear, Linear Hiperbólica e Polinomial Inversa subestimaram as produções.

O pico de lactação foi observado entre a primeira e a segunda semanas de lactação. De forma geral, todos os modelos ou superestimaram ou subestimaram a produção no pico de lactação, com melhor estimativa para o modelo Gama Incompleto, tanto para cabras Saanen como para cabras Alpinas. Ribeiro et al.(19) realizaram um estudo com modelos matemáticos para ajuste de curva de lactação em caprinos e concluíram que as funções que se adequaram para o cálculo do pico de produção foram a Gama Incompleta e a Polinomial Inversa.
O tempo de pico foi estimado pelos modelos de forma muito distintas e os que apresentaram estimativas mais próximas da realidade foram Polinomial Inverso, Linear Hiperbólico e Gama Incompleto. O modelo Quadrático foi o que apresentou estimativas mais fora da realidade. A persistência de lactação só foi estimada com valores próximo da realidade pelo modelo Gama Incompleto. Cardona et al.(17) indicaram que o tempo de pico em cabras das raças Saanen, Alpina e mestiças, após o parto, foi com sete dias e com produção média de leite de 1,93 kg.
Os modelos que apresentaram melhores estimativas das curvas reais de lactação do rebanho foram o Quadrático Logarítmico e o Linear, respectivamente. Em estudos de curva de lactação, é importante quantificar o percentual de curvas típicas obtido pelas funções, pois curvas atípicas são caracterizadas por apresentarem estimativas irreais e fora dos limites biológicos aceitáveis para os parâmetros da curva.
Conclusões
Cabras Alpinas têm a produção de leite menos influenciada pela estação de parto que as cabras Saanen, porém, cabras Saanen apresentam-se em média mais produtivas. A seleção baseada na ordem de parto, nas condições do Brejo Paraibano, deve-se iniciar, pelo menos, a partir da quarta lactação. Qualquer um dos modelos testados pode ser utilizado para estimativa da curva média do rebanho, porém, para o estudo das curvas individuais, o modelo Gama Incompleto deve ser preferido, por apresentar melhores estimativas dos componentes da curva de lactação tanto de cabras Alpinas como de Cabras Saanen criadas no Brejo Paraibano.
Referências
1. FAO, 2014 – Disponível no site: http://www.fao.org/Faostat/en/#Data/QA . Acessado: 20 fev. 2017.
2. Costa RG, Dal Monte HLB, Pimenta Filho EC, Holanda Júnior EV, Cruz GRB, Menezes MPC. Typology and characterization of goat milk production systems in the Cariris Paraibanos. Revista Brasileira de Zootecnia. 2010;39:656-666. Disponível em: http://www.scielo.br/pdf/rbz/v39n3/a27v39n3.pdf
3. Oliveira HTV, Reis RB, Glória JR, Quirino CR, Pereira CC. Curvas de lactação de vacas F1 Holandês-Gir ajustadas pela função gama incompleta. Arquivo Brasileiro de Medicina Veterinária e Zootecnia. 2007;59(1):233-238. Disponível em: http://www.scielo.br/pdf/abmvz/v59n1/37.pdf
4. IBGE: Instituto Brasileiro de Geografia e Estatística - Censo Agropecuário, 2010.
5. SAS Institute Inc. SAS/STAT User’s guide. Cary, North Caroline: SAS Institute Inc., 2012.
6. Nelder JA. Inverse polynomials a useful group of multifactor response functions. Biometrics. 1966;22(1):128-141. Disponível em: http://www.jstor.org/stable/pdf/2528220.pdf
7. Bianchini Sobrinho E. Estudo da curva de lactação em vacas da raça Gir. Ribeirão Preto: FMVRP/USP. 1984. 88p. Tese Doutorado. Disponível em: http://www.scielo.br/scielo.php?script=sci_nlinks&ref=000063&pid=S15163598201000100000900003&lng=en
8. Wood PDP. Algebric model of the lactation curve ion cattle. Nature. 1967;216:164-165. Disponível em: http://www.nature.com/nature/journal/v216/n5111/pdf/216164a0.pdf
9. Afifi AA; Clark V. Computer aided multivariate analysis. Lifetime Learning Publication. Belmont, California. 1984. 458p. Disponível em: http://scielo.isciii.es/scielo.php?script=sci_nlinks&ref=919836&pid=S00040592200900040000700001&lng=es
10. Draper NM, Smith H. Applied Regression Analysis. 2. ed. New York: Wiley, 1981.
11. Ribeiro MN. Estudo da curva de lactação de um rebanho caprino no estado da Paraíba. Jaboticabal: FCAV/UNESP, 1997. 91p. Tese (Doutorado em Zootecnia). Disponível em: http://scielo.isciii.es/scielo.php?script=sci_nlinks&ref=919864&pid=S00040592200900040000700015&lng=es
12. Bianchini Sobrinho E. Estimativa de produção total de leite de vacas da raça Gir, baseada em controles semanais, quinzenais, mensais e bimestrais, obtenção de fatores multiplicativos. Jaboticabal: FCAV/UNESP, 1988. 90p. Tese Doutorado. Disponível em: http://scielo.isciii.es/scielo.php?script=sci_nlinks&ref=919842&pid=S00040592200900040000700004&lng=es
13. Sarmento JLR, Regazzi AJ, Sousa WH, Torres RA, Breda FC, Menezes, GR. O Estudo da curva de crescimento de ovinos Santa Inês. Revista Brasileira de Zootecnia. 2006;35(2):435- 442. Disponível em: https://www.researchgate.net/profile/Gilberto_Menezes/publication/260767714_
14. Serradilla JM. Use of high yielding goat breeds for milk production. Livestock Production Science. 2001;71:59-73. Disponível em: https://www.researchgate.net/profile/Juan_Serradilla/publication/223766612
15. Irano N, Bignardi AB, Rey FS, Teixeira IA, Albuquerque LG. Parâmetros genéticos para a produção de leite em caprinos das raças Saanen e Alpina. Revista Científica Agronômica. 2012; 43(2):376-381. Disponível em: http://www.redalyc.org/pdf/1953/195321143022.pdf
16. Rodrigues L, Spina JR, Texeira IAMA, Dias ÂC, Sanches A, Resende KT. Produção, composição do leite e exigências nutricionais de cabras Saanen em diferentes ordens de lactação. Acta Scientiarum Animal Science. 2006;28:447-452. Disponível em: http://www.redalyc.org/pdf/3031/303126485010.pdf
17. Cardona SJC, Álvarez JDC, Sarmento JLR, Herrera LGG, Cadavid HC. Associação de SNPs nos genes para κ-caseína e β-lactoglobulina com curvas de lactação em cabras leiteiras. Pesquisa Agropecuária Brasileira. 2015;50(3):224-232. Disponível em: http://seer.sct.embrapa.br/index.php/pab/article/view/19952/12888
18. Guimarães VP, Rodrigues MT, Sarmento JLR, Rocha DT. Utilização de funções matemáticas no estudo da curva de lactação em caprinos. Revista Brasileira de Zootecnia. 2006;35(2):535-543. Disponível em: http://www.scielo.br/pdf/rbz/v35n2/a28v35n2.pdf
19. Ribeiro MN, Faro ELL, Pimenta Filho EC, Albuquerque LG. Modelos matemáticos para ajuste da curva de lactação de cabras mestiças no cariri paraibano. Ars Veterinaria.2004;20(7):276-282. Disponível em: http://www.arsveterinaria.org.br/arquivo/2004/v.20,%20n.3,%202004/276-282.pdf