DOI: 10.1590/1089-6891v20e-47229
MEDICINA VETERINÁRIA
HIPOCALCEMIA EM VACAS LEITEIRAS DA AGRICULTURA FAMILIAR
HYPOCALCEMIA IN DAIRY COWS OF FAMILY AGRICULTURE
Daiana Mazzuco1 ORCID - http://orcid.org/0000-0003-4977-9767
Renata Bonamigo¹ ORCID - http://orcid.org/0000-0002-0844-7101
Fernando Meireles da Silva¹ ORCID - http://orcid.org/0000-0001-6131-743X
Tatiana Champion¹ ORCID - http://orcid.org/0000-0002-7346-1620
Carina Franciscato² ORCID - http://orcid.org/0000-0002-4486-3137
Luciana Pereira Machado¹* ORCID - http://orcid.org/0000-0001-9496-7295
¹Universidade Federal da Fronteira Sul, Realeza, PR, Brasil.
²Universidade Federal de Juiz de Fora, Juiz de Fora, MG, Brasil.
*Autora para correspondência - luciana.machado@uffs.edu.br
Resumo
O objetivo deste trabalho foi avaliar a ocorrência de hipocalcemia associada ou não a hipomagnesemia em vacas leiteiras de propriedades de agricultura familiar. Foram avaliadas 22 vacas das raças Jersey, Holandesa e Jersolando, no período de transição, oriundas de pequenas propriedades de agricultura familiar, com produção média 12L/leite/dia. A concentração do cálcio total e do magnésio séricos foi determinada por metodologia colorimétrica e cálculo do cálcio ionizado estimado a partir das concentrações séricas do cálcio total, de proteína e albumina. Foi observada hipocalcemia em 50% dos animais no pré-parto (8,2±1,4mg/dL) e 63,6% no pós-parto (7,7±1,7 mg/dL). A redução do cálcio ionizado foi menos frequente, com grande parte dos animais apresentando cálcio ionizado estimado dentro da normalidade, com média de 4,6±0,83 mg/dL no pré-parto e 4,3±1,0 mg/dL no pós-parto. Todos os animais apresentaram concentrações de magnésio sérico dentro da normalidade, descartando-se hipomagnesemia. A concentração média de magnésio no pré-parto foi 2,4±0,3 mg/dL com elevação significativa (p<0,05) no pós-parto para 2,7±0,5 mg/dL. Conclui-se que as vacas leiteiras da agricultura familiar são susceptíveis à ocorrência de hipocalcemia e a ausência de sinais clínicos pode estar relacionada à manutenção da concentração de cálcio ionizado próxima da normalidade associada à ausência de hipomagnesemia.
Palavras-chave: bovinocultura de leite; cálcio; doença metabólica; magnésio
Abstract
The objective of this study was to evaluate the occurrence of hypocalcemia associated or not to hypomagnesemia in dairy cows of family farming properties. Were evaluated 22 cows, Jersey, Dutch and Jersolando breeds, during the transition period, from small family farming properties, with average 12 L/milk/day production. The concentration of serum total calcium and magnesium was determined by colorimetric methodology and calculation of ionized calcium estimated from the serum concentrations of total calcium, protein and albumin. Hipocalcemia was observed in 50% of the animals in prepartum (8.2 ± 1, 4 mg/dL) and 63.6% postpartum (7.7 ± 1.7 mg/dL). The reduction of ionized calcium was less frequent, with many of the animals presenting estimated ionized calcium within the normal range, averaging 4.6 ± 0.83 mg/dL in the prepartum and 4.3 ± 1.0 mg/dL in the postpartum. All animals presented concentrations of serum magnesium within normality, excluding hypomagnesemia. The average concentration of magnesium in the partum was 2.4 ± 0.3 mg/dL with significant elevation (p < 0.05) in postpartum to 2.7 ± 0.5 mg/dL. We concluded that dairy cows in the family agriculture are susceptible to hypocalcemia, and the absence of clinical signs may be relacionated with the maintenance of ionized calcium concentration into normal range, associeted with absence of hypomagnesemia.
Key words: calcium; dairy cattle; magnesium; metabolic disease
Recebido em: 31 de maio de 2017.
Aceito em: 27 de março de 2018.
Introdução
A produção de leite se destaca como atividade agropecuária no Brasil e tem grande relevância econômica e social para o agronegócio, com a produção leiteira oriunda principalmente da pequena propriedade rural familiar(1). Na região sudoeste do Paraná, destaca-se a agricultura familiar, que representa 89% dos estabelecimentos de produção leiteira e ocupa 58% da área total(2). No ano de 2014, a região Sul passou à frente do Sudeste, tornando-se a primeira bacia leiteira nacional, e mantendo-se o Paraná na posição de 3º maior produtor(3).
São muitas as dificuldades encontradas pelos produtores rurais ao trabalharem na produção de leite. Dentre elas, podemos destacar as doenças metabólicas que afetam os rebanhos leiteiros no período pré e pós-parto, conhecido como período de transição, levando à diminuição da produção de leite e causando inúmeras perdas econômicas(4). Nesse período, um dos grandes desafios para os bovinos leiteiros é manter a homeostase dos minerais, com destaque para os macrominerais, principalmente o cálcio e o magnésio(5).
O cálcio representa de 1% a 2% da composição do organismo animal, sendo responsável pela mineralização óssea, regulação metabólica, coagulação sanguínea, contração muscular, transmissão de impulsos nervosos, dentre outros. Já o magnésio representa cerca de 0,045%, atuando principalmente como cofator de mais de 300 enzimas, como componente dos ossos e na atividade neuromuscular(6).
A hipocalcemia, seja na sua forma clínica ou subclínica, é apontada como causadora de grandes prejuízos na atividade leiteira, sendo responsável por redução acentuada na produtividade total da lactação da vaca afetada(4). É caracterizada como uma doença metabólico-nutricional causada por incapacidade do organismo em manter a homeostase do cálcio durante um período em que ocorrem muitas alterações no organismo do animal em consequência do parto, pela mobilização de cálcio para realizar a mineralização do feto, a produção do colostro e a produção de leite pela vaca(7,8).
Todas as vacas de leite, durante o periparto, passam por um período de hipocalcemia, entretanto, 5% a 20% dos casos são mais severos, ocorrendo manifestações clínicas da doença(7). Os sinais clínicos iniciais da hipocalcemia são tremores musculares, ataxia, dispneia, seguidos de decúbito esternal, com depressão, anorexia, cabeça voltada para o flanco e, em casos graves, perda de consciência evoluindo para o coma(4,8). A hipocalcemia facilita ainda a ocorrência de complicações secundárias, como atonia ruminal, falta de apetite, mastite, alterações no trato reprodutivo, como retenção de placenta e metrite(9).
O cálcio apresenta-se sob duas formas no soro sanguíneo, sendo elas a forma ionizável ou ionizada e a forma orgânica. O cálcio ionizado corresponde a aproximadamente 45% da concentração total de cálcio sanguíneo e representa a parcela biologicamente ativa de cálcio, ou seja, a porção metabolicamente disponível(6). É fundamental que a concentração de cálcio, principalmente na forma ionizada, não esteja distante dos valores de referência, que variam de 4,4 a 5,6 mg/dL(10).
A concentração de magnésio sanguíneo também apresenta importância em relação ao diagnóstico da hipocalcemia, podendo ocorrer hipomagnesemia associada à hipocalcemia no período de transição(5). Além do mais, o magnésio tem papel importante na manutenção do equilíbrio do cálcio durante o período do parto, de modo que o aumento da ingestão de magnésio ajuda a prevenir a hipocalcemia clínica(11).
Devido à importância desses macroelementos minerais em animais de produção leiteira, o objetivo deste trabalho foi avaliar a ocorrência de hipocalcemia e hipomagnesemia em vacas leiteiras em propriedades de agricultura familiar, nos períodos pré e pós-parto, identificar fatores que predispõem a ocorrência da hipocalcemia em vacas de leite e quais os animais mais suscetíveis à ocorrência da enfermidade.
Material e métodos
Foram utilizadas 22 vacas leiteiras com idade entre 3 e 11 anos, sendo sete da raça Jersey, dez da raça Holandesa e cinco Jersolando, pertencentes a quatro produtores rurais da agricultura familiar dos municípios de Pinhal de São Bento e Realeza, ambos pertencentes à mesorregião sudoeste do estado do Paraná. Os animais selecionados contavam com manejo alimentar semelhante, com uso de pastagem (aveia, azevém, capim-sudão e estrela africana), silagem de milho e ração comercial, apresentavam produção média de 12 litros de leite por dia, tinham de uma a sete lactações, estavam no período de transição e não apresentavam sinais clínicos de hipocalcemia.
Os produtores informaram dados quanto a idade dos animais, raça, número de lactações, alimentação fornecida e manejo realizado no período seco. Esta pesquisa foi aprovada pelo Comitê de Ética no Uso de Animais, segundo o parecer 020/CEUA/UFFS/2014.
Foram coletados 10 mL de sangue venoso, no período pré-parto (entre 1 e 21 dias antes do parto) e no período pós-parto (entre 1 e 21 dias após o parto), através da punção da veia coccígea ou veia jugular externa, em tubos sem anticoagulantes, transportados de forma refrigerada, dentro de no máximo 8 horas. As amostras foram centrifugadas a 5000 rpm por 10 minutos e o soro estocado a -20˚C, para análises posteriores.
Foram determinadas a concentração sérica de cálcio seguindo o método da Cresolftaleína e a concentração sérica de magnésio seguindo o método do Magon Sulfonado. Para o cálculo do cálcio inonizado, também foram determinadas a concentração sérica de proteínas totais pelo método de Biureto e a de albumina pelo método do Verde de Bromocresol. Todas as análises bioquímicas foram realizadas utilizando kits comerciais (Analisa® − Gold Analisa Diagnóstica Ltda, Belo Horizonte, Brasil), conforme orientações dos fabricantes e determinação das absorbâncias em espectrofotômetro (UV-1800 Beijing Rayleigh Analytical Instrument Corp, Beijin, R.P. China).
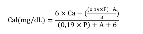
A concentração de cálcio ionizado (Cal) foi estimada por cálculo através da fórmula fornecida pelo fabricante do kit(12), a partir dos níveis séricos de cálcio (Ca), proteínas totais (P) e albumina (A), conforme fórmula abaixo:

Os valores séricos dos minerais utilizados como valores de referência foram: 8,5 a 9,5 mg/dL para o cálcio total(13), 4,4 a 5,6 mg/dL para o cálcio ionizado(6) e 1,7 a 3,3 mg/dL para o magnésio(14).
Os dados obtidos foram submetidos à análise de normalidade pelo teste de Kolmogorov – Smirnov e os dados paramétricos foram analisados pelo Teste T pareado para comparação entre momentos pré e pós-parto e pelo Teste T não pareado para avaliar o efeito da idade (até 6 anos e mais de 6 anos de idade), números de lactações (até 2 lactações e 3 ou mais lactações) e tempos de período seco (≤ 60 dias e > que 60). Para avaliar o efeito da raça (Jersey, Holandesa e Jersolando), foi realizada a análise de variância (ANOVA) e o Teste de Tukey. Utilizou-se o programa estatístico GraphpadPrism5, considerando nível de significância de 5%.
Resultados e discussão
A hipocalcemia foi frequente nos animais avaliados, porém, não houve diferença significativa entre as concentrações de cálcio total e ionizado nos períodos de pré e pós-parto (Tabela 1). No período pré-parto, observou-se que 50% dos animais apresentaram concentrações de cálcio total abaixo dos valores de referência(13), enquanto no pós-parto foram 63,6% dos animais. Em relação ao cálcio ionizado estimado, 31,8% dos animais no período pré-parto e 54,5% no pós-parto apresentaram concentrações abaixo dos valores de referência(6). A hipocalcemia foi caracterizada como subclínica, pela ausência de sinais clínicos, e a frequência foi semelhante ao reportado em estudos anteriores realizados por Reinhardt et al.(15) e por Sobierayski Esnaola(16). Os animais incluídos no estudo foram representativos do perfil predominante nas propriedades produtoras de leite do sudoeste paranaense, classificada como média, segundo Parré et al.(17), que verificaram produtividade média de 12,1 litros de leite por vaca em lactação por dia.

Segundo Oetzel(11), a hipocalcemia subclínica afeta cerca de 50% do rebanho leiteiro. Porém, a frequência da hipocalcemia diverge entre estudos, dependendo da região e do tipo de animais avaliados. Moreira et al.(5) avaliaram animais de Minas Gerais e observaram que no inverno a prevalência de hipocalcemia chegou a 75%, enquanto no verão ficou em 35,48%. Já Lucena et al.(18) observaram que a prevalência de hipocalcemia pós-parto em animais atendidos em Santa Maria, no estado do Rio Grande do Sul, foi de apenas 1,9%. Segundo Martinez et al.(19), em seu estudo realizado no estado da Flórida, nos Estados Unidos, a prevalência de hipocalcemia subclínica foi de 65% nos três primeiros dias pós-parto. Gild et al.(20), ao realizar um trabalho em Israel com animais de baixa produção de leite com mensuração de cálcio total, relataram que apenas 18,9% dos animais apresentaram hipocalcemia subclínica.
Quanto aos fatores predisponentes de hipocalcemia avaliados, nas concentrações séricas de cálcio ionizado estimado, observaram-se diferenças em relação à idade dos animais no período pós-parto (Figura 1), que não foi significativa para o cálcio total. Os animais mais velhos apresentaram concentrações médias de cálcio ionizado estimado menores que os encontrados em animais mais novos, estando de acordo com o que afirma a Embrapa(21): as vacas mais velhas apresentam, de forma progressiva, menor capacidade de reabsorção óssea e de absorção intestinal de cálcio, além de apresentarem o apetite depravado, fato que faz com que esses animais sejam mais susceptíveis à ocorrência de hipocalcemia.

Os diferentes tempos de período seco avaliados (menor ou igual a 60 dias e maior que 60 dias) não promoveram efeito significativo (p>0,05) na concentração de cálcio total e ionizado. Mesmo constatando que nenhuma propriedade fornecia alimentação especial no período seco visando à prevenção da hipocalcemia. Fato que, segundo Alvarenga et al.(4), deve ser observado com atenção, pois, nessa fase, os animais apresentam menor consumo de matéria seca e maiores exigências nutricionais, podendo desenvolver transtornos metabólicos, como a hipocalcemia.
Em relação ao número de lactações, houve diferenças nas concentrações de cálcio ionizado estimado, tanto no período de pré-parto quanto no período de pós-parto (Figura 2). Animais que apresentavam até duas lactações tiveram concentrações médias de cálcio total e magnésio semelhante, porém, a concentração do cálcio ionizado foi menor em animais com três ou mais lactações, concordando com Oetzel(11), que afirma que as concentrações médias de cálcio ionizado sofreram declínio em vacas de duas ou mais lactações.

Apesar de grande parte dos animais apresentarem níveis plasmáticos de cálcio total e cálcio ionizado estimado inferiores aos valores de referência para a espécie, nenhum animal analisado apresentou quadro clínico indicativo de hipocalcemia. Moreira et al.(5) também não observaram sinais clínicos nos animais com hipocalcemia. Todas as vacas de leite, durante o periparto, passam por um período de hipocalcemia, entretanto, apenas 5% a 20% dos casos são mais severos, ocorrendo manifestações clínicas da doença(7).
Contudo, mesmo quando o animal não apresenta sinais clínicos de hipocalcemia, a queda dos níveis plasmáticos de cálcio abaixo dos valores fisiológicos traz graves consequências ao animal, prejudicando sua produção e podendo levar ao seu descarte de forma precoce(5).
Tantos nos animais cuja amostragem de sangue foi realizada próxima à data do parto quanto nos animais em que foi realizada 21 dias antes ou após o parto, foram observados valores de cálcio total abaixo dos valores de referência, indicando que a hipocalcemia não ocorreu apenas próximo ao parto. Diferente do estudo de Kimura et al.(13), no qual a concentração de cálcio foi mantida dentro do normal até próximo a data de parição, quando caiu drasticamente no dia do parto ou no dia seguinte, e as concentrações plasmáticas de cálcio retornaram aos níveis normais após quatro dias. Moreira et al.(5) relatam queda dos níveis de cálcio a partir da primeira semana pré-parto até o dia 10 pós-parto, aumentando no dia 15 e permanecendo assim até 30 dias pós-parto.
A concentração de magnésio se manteve dentro do intervalo de normalidade, não houve nenhum caso de hipomagnesemia e apenas dois animais apresentaram valores acima da referência para a espécie(14). Alvarenga et al.(4), em estudo com animais da raça holandesa durante o período de transição, também encontraram concentrações séricas de magnésio dentro dos valores de referência.
Houve diferença nas concentrações de magnésio sérico durante os períodos pré e pós-parto (Tabela1; Figura 3), com valores mais elevados no pós-parto, porém, sem significado clínico por estarem dentro dos valores de referência(14). Diferente de outros autores que não observaram alteração entre pré e pós-parto(4) e de Moreira et al.(5), cujo estudo apontou que os animais apresentaram queda nos níveis de magnésio a partir de dois dias pós-parto. A maior concentração de magnésio no período pós-parto, no presente estudo, pode ser considerada benéfica, pelo fato de o magnésio prevenir a hipocalcemia, visto que a reabsorção óssea de cálcio é dependente do magnésio(4, 11).

A elevação de magnésio observada no pós-parto pode ter relação com a alimentação fornecida. Segundo Bacila(22), o conteúdo de minerais na pastagem varia de acordo com diversos fatores, entre os quais encontramos o estado de maturidade do vegetal e o manejo de adubação. Apesar do controle renal exercido sobre a concentração de magnésio, González et al.(12) explicam que não existe controle homeostático eficiente sobre o magnésio, e isso faz com que sua concentração sanguínea esteja diretamente relacionada ao nível de magnésio presente na dieta do animal.
Animais submetidos a períodos secos mais longos demonstraram concentrações de magnésio sérico maiores (Figura 4), porém, dentro dos valores de referência(14). Segundo Bacila(22), o período seco exerce uma grande influência na ocorrência de desordens metabólicas, sendo fundamental um período mínimo de 60 dias para a reposição das reservas corporais e, assim, a diminuição das chances de ocorrência de doenças.

A hipocalcemia ocorreu de forma muito semelhante entre animais das raças Jersey, Holandesa e Jersolando, sendo que, somente no período de pré-parto, as concentrações de cálcio total e cálcio ionizado estimado dos animais da raça Holandesa diferiram dos animais da raça Jersolando, com valores superiores para o Jersolando, enquanto na raça Jersey os valores demonstraram-se iguais para ambos (Figura 5).

Em estudo recente quanto ao perfil metabólico de vacas Jersey, a hipocalcemia subclínica foi frequente, ocorrendo em 57,1% dos animais no pré-parto e 76,2% no pós-parto. Tem sido atribuída à raça Jersey maior tendência para a hipocalcemia relacionada com menor absorção intestinal, porém, segundo os autores, a hipocalcemia observada teria relação com os valores de albumina que permaneceram próximos ao limite mínimo de referência no período(23). Não foram encontrados estudos semelhantes com animais Jersolando, e o presente estudo sugere maior adaptação da raça ao manejo adotado nas propriedades de agricultura familiar.
É importante que os produtores utilizem estratégias nutricionais adequadas ao seu tipo de rebanho para a prevenção da hipocalcemia(5). Atualmente, tem-se proposto a utilização de dietas aniônicas como alternativas na redução dos quadros de hipocalcemia(7, 11), porém, ainda não são muito utilizadas nas pequenas propriedades devido à falta de conhecimento dos produtores a respeito e ao seu valor elevado.
Conclusão
A ocorrência de hipocalcemia não está restrita a animais de alta produção de leite e, em bovinos de média produção de leite de agricultura familiar, ocorre tanto no pré como no pós-parto. A manutenção da concentração do cálcio ionizado estimado dentro dos valores de referência evita o desenvolvimento dos sinais clínicos da hipocalcemia. A hipomagnesemia não é uma alteração frequente e ocorre aumento da concentração sérica de magnésio no pós-parto. A raça Holandesa, a idade superior a seis anos e o número de lactações superior a três podem ser considerados fatores predisponentes de hipocalcemia em propriedades de agricultura familiar.
Referências
1. Winck CA, Leonardi A, Gianezini M, Clandio FR, Machado JAD. Produção de leite no Brasil: qualidade, mercado internacional e agricultura familiar. Publicações em Medicina Veterinária e Zootecnia [internet]. 2011; 5(32): 23 p. [Acesso 2017 abr 23]. Disponível em: https://www.academia.edu/4256991/Produ%C3%A7%C3%A3o_de_leite_no_Brasil_qualidade_mercado_internacional_e_agricultura_familiar. Portuguese.
2. Schmitz AM, Santos RA. A produção de leite na agricultura familiar do Sudoeste do Paraná e a participação das mulheres no processo produtivo. Revista Terra Plural [internet]. 2013; 7(2):339-355. [Acesso 2017 abr 23]. Disponível em: http://revistas2.uepg.br/ojs_new/index.php/tp/article/viewFile/4543/3950. Portuguese.
3. Digiovani S. A liderança é do Sul. In: SISTEMA FAEP, Boletim Informativo do Sistema FAEP. 2015; 10 (1322):24-25. Portuguese.
4. Alvarenga EA, Moreira GHFA, Filho EJF, Leme FOP, Coelho SG, Molina LR, Lima JAM, Carvalho AU. Avaliação do perfil metabólico de vacas da raça Holandesa durante o período de transição. Pesquisa Veterinária Brasileira. 2015; 35 (3): 281-290. Portuguese.
5. Moreira TF, Zambrano JU, Paula VM, Casagrande FP, Filho EJF, Molina LR, Leme FOP, Carvalho AU. Perfil mineral de vacas mestiças Girolanda no período de transição em sistema semi-intensivo em duas estações do ano. Pesquisa Veterinária Brasileira. 2015; 35 (3): 249-257. Portuguese.
6. González FHD, Barcellos JO, Ospina H, Ribeiro LA.O. Perfil metabólico em ruminantes: seu uso em nutrição e doenças nutricionais. Porto Alegre: UFRGS; 2000.108 p. Portuguese.
7. Schfhäuser Júnior J. O balanço de cátions e ânions em dietas para vacas leiteiras no período de transição. Revista da Faculdade de Zootecnia, Veterinária e Agronomia [internet]. 2006; 13(1):112-127. [Acesso 2017 abr 23]. Disponível em: http://revistaseletronicas.pucrs.br/ojs/index.php/fzva/article/view/2345. Portuguese.
8. Barrêto Júnior RA, Minervino AHH, Rodrigues FAML, Meira Júnior EBS, Ferreira RNF, Lima AS, Mori CS, Barros IO, Ortolani EL. Avaliação do quadro clínico e perfl bioquímico de bovinos durante indução e tratamento de hipocalcemia. Brazilian Journal of Veterinary Research and Animal Science [internet]. 2011; 48(3):192-199. [Acesso 2017 abr 24]. Disponível em: www.revistas.usp.br/bjvras/article/download/34381/37119. Portuguese.
9. Silveira PA, Fensterseifer S, Pereira RA, Schneider A, Bianchi I, Corrêa MN. Impacto econômico das doenças do periparto de vacas leiteiras. Núcleo de Pesquisa, Ensino e Extensão em Pecuária (NUPEEC). 2009. Portuguese.
10. Littledike ET, Goff J. Interactions of calcium, phosphorus, magnesium and vitamin D that influence their status in domestic meat animals. Journal of Animal Science. 1987; 65(6):1727-1743. English.
11. Oetzel GR. An update on hypocalcemia on dairy farms. School of Veterinary Medicine, University of Wisconsin-Madison [internet]. 2015; p. 80-85. [Acesso 2017 abr 27]. Available from: http://livestocktrail.illinois.edu/uploads/dairynet/papers/Update%20Hypocalcemia%20Oetzel1.pdf . English.
12. Gold Analisa. Informe técnico do produto. 2012. [Acesso 2017 abr 24]. Disponível em: www.goldanalisa.com.br. Portuguese.
13. Kimura K, Reinhardt TA, Goff JP. Parturition and hypocalcemia blunts calcium signals in immune cells of dairy cattle. Journal of Dairy Science [internet]. 2006; 89(7):2588–2595. [Acesso 2017 abr 23]. Available from: http://naldc.nal.usda.gov/naldc/download.xhtml?id=2094&content=PDF. English.
14. Reinhardt TA, Horst RL, Goff JP. Calcium, phosphorus, and magnesium homeostasis in ruminants. Veterinary Clinics of North America: Food Animal Practice.1988; 4(2):331-350. English.
15. Reinhardt TA, Lippolis JD, MccLuskey BJ, Goff JP, Horst RL. Prevalence of subclinical hypocalcemia in dairy herds. Veterinary journal. 2011; 188(1):122–124. English.
16. Sobierayski Esnaola G. Relação entre hipocalcemia subclínica e indicadores energéticos na apresentação de afecções uterinas e da glândula mamária no periparto de vacas leiteiras. Porto Alegre: UFRGS; 2016. 51 p. Portuguese.
17. Parré JL, Bánkuti SMS, Zanmaria NA. Perfil socioeconômico de produtores de leite da região sudoeste do Paraná: um estudo a partir de diferentes níveis de produtividade. Revista de economia e agronegócio [internet]. 2011; 9(2):275-300. [Acesso 2017 abr 23]. Disponível em: http://ageconsearch.umn.edu/bitstream/121299/2/Artigo%206.pdf. Portuguese.
18. Lucena RB, Pierezan F, Kommers GD, Irigoyen LF, Fighera RA, Barros CSL. Doenças de bovinos no sul do Brasil: 6.706 casos. Pesquisa Veterinária Brasileira. 2010; 30(5):428-434. Portuguese.
19. Martinez N, Risco CA, Lima FS, Bisinotto RS, Greco LF, Ribeiro ES, Maunsell F, Galvão K, Santos JEP. Evaluation of peripartal calcium status, energetic profile, and neutrophil function in dairy cows at low or high risk of developing uterine disease. Journal of Dairy Science [internet]. 2012; 95(12):7158–7172. [Acesso 2017 abr 23]. Available from: http://dx.doi.org/10.3168/jds.2012-5812. English.
20. Gild C, Alpert N, Straten M. The Influence of Subclinical Hypocalcemia on Production and Reproduction Parameters in Israeli Dairy Herds. Israel Journal of Veterinary Medicine. 2015; 70(1):16-21. English.
21. Empresa Brasileira de Pesquisa Agropecuária (EMBRAPA) – Tabuleiros Costeiros. Hipocalcemia ou febre do leite: um problema recorrente em vacas leiteiras [internet]. 2013. [Acesso 2017 abr 27] Disponível em: http://www.cpatc.embrapa.br/index.php?idpagina=artigos&artigo=9270&showaquisicao=true. Portuguese.
22. Bacila M. Bioquímica veterinária. 2. ed. São Paulo: ROBE Editorial, 2003. 582 p. Portuguese.
23. Alvarenga PB, Rezende AL, Justo FB, Rezende SR, Cesar JCG, Santos RM, Mundim AV, Saut JPE. Perfil metabólico de vacas da raça Jersey clinicamente saudáveis. Pesquisa Veterinária Brasileira. 2017; 37 (2):195-203. Portuguese.