
DOI: 10.1590/1809-6891v20e-46662
ZOOTECNIA
SOLAR RADIATION USE EFFICIENCY AND GROSS PROTEIN OF SORGHUM FORAGE ARE MODIFIED BY THE CUTTING MANAGEMENT
EFICIÊNCIA DO USO DA RADIAÇÃO SOLAR E PROTEÍNA BRUTA DO SORGO FORRAGEIRO SÃO MODIFICADAS PELO MANEJO DE CORTES
Julia Renata Schneider1* ORCID - http://orcid.org/0000-0001-8472-154X
Braulio Otomar Caron1 ORCID - http://orcid.org/0000-0002-6557-3294
Elvis Felipe Elli1 ORCID - http://orcid.org/0000-0001-9247-4956
Felipe Schwerz1 ORCID - http://orcid.org/0000-0001-5266-4309
Thaise Dieminger Engroff1 ORCID - http://orcid.org/0000-0002-9430-953X
1Universidade Federal de Santa Maria,Santa Maria,RS,Brazil
*Corresponding author - juliaschneider07@hotmail.com
Abstract
The purpose of this study is to determine the growth, the solar radiation use efficiency, and the gross
protein of sorghum forage under different cutting management. A unifactorial design in random blocks
(cutting management) was used, varying from no-cut treatment to four cuts. The first cut occurred 44 days
after sowing, the second one after 23 days of regrowth, the third one after 25 days of regrowth, and the
last one after 40 days of regrowth. The efficiency of the sorghum forage’s solar radiation use reduces as
the number of cuts increases. The sorghum forage’s gross protein increases with cutting management.
Therefore, for a sorghum forage crop, it is recommended to restrain the cutting management up to three
times during the crop cycle, since it has the biomass potential production, and the cuts should be made at
every 25 days, depending on the increase of dry mass. After that, the cutting management should not be
done, mainly due to the low radiation use efficiency, reduced dry mass accumulation, and low material
quality.
Keywords: forage; grazing; tillering.
Resumo
O objetivo deste trabalho foi determinar o crescimento, a eficiência do uso da radiação solar e a proteína
bruta do sorgo forrageiro submetido a diferentes manejos de cortes. Foi utilizado um esquema unifatorial
em delineamento de blocos casualizados (manejo de cortes), que variou do tratamento sem corte até quatro
cortes. O primeiro corte ocorreu 44 dias após a semeadura, o segundo 23 dias após o rebrote, o terceiro
25 dias após o rebrote e o último após 40 dias do rebrote. A eficiência do uso da radiação solar do sorgo
forrageiro reduziu com o aumento do número de cortes. A proteína bruta das plantas de sorgo aumentou
com o manejo de cortes. Portanto, para a cultura do sorgo forrageiro, recomenda-se restringir o manejo
de cortes para até três vezes durante o ciclo, desde que exista potencial produtivo de biomassa, e esses
cortes devem ocorrer a cada 25 dias, dependendo do acréscimo de matéria seca. Não se recomenda a
realização de mais do que três cortes, devido à baixa eficiência na utilização da radiação solar, à reduzida
acumulação de matéria seca e à baixa qualidade desse material.
Palavras-chave: foragem; pastagem; afilhamento.
Received on: April 28th,2017
Accepted on: July 9th,2018.
Introduction
Sorghum forage (Sorghum bicolor (L.) Moench) is an energy grass of high digestibility,production,and adaptation to different soil conditions and abiotic stresses(1).This culture can be used for silage or for direct grazing because it presents high photosynthetic rates,high dry mass production,and high survival percentage(2).
Plants grow due to the balance of accumulated dry mass through photosynthesis.Thus,the intercepted photosynthetically active radiation (PAR),which is transformed into dry mass,shows how efficient the species is regarding the use of radiation (εb)(3).
The pasture production capacity depends on the weather conditions in which the plants grow,from which solar radiation is the most important element,especially since it is related to the management practices employed (for example,plant cut and regrowth).Such management will define the forage's quality(4).
The cutting management,to which a plant can be submitted under grazing conditions,results in leaf area loss and stress.This reduces its photosynthetic capacity because the leaves are responsible for intercepting and transforming solar radiation.Besides the ability of the plants to intercept radiation on its canopy,their radiation use efficiency is proportional to the leaf area index and depends on the arrangement and inclination of the leaves in relation to the incident light(5).Thus, despite the plant tissue renewal,it is important to estimate how much a cut will affect the plant's solar radiation use efficiency to produce dry mass.
The cutting management of forage plants may result in tillering and tillers are considered key components of a plant structure(6).The tillers stand out with an important role in the accumulation of dry mass,besides increasing the leaf area of the plant and,consequently,the amount of radiation intercepted(7).
Besides tillering,cutting is also important to improve pasture quality. In high fiber content sorghum plants,the high concentration of cell wall components characterizes as low quality forage.Generally,for high-growing plants,these factors result in lower digestibility(8).Therefore, plants subjected to cutting are smaller,concentrating their production in a higher percentage of leaves,generating a greater rate of acceptance, a higher digestibility, and an improved quality,which are expressed by the gross protein content of the material.
Considering that the conversion of photosynthetically active radiation (PAR) to dry mass varies in the agricultural crops,it is necessary to know the efficiency of each crop in different production systems in order to identify the productive potential and the factors limiting the productivity.Also,sorghum forage is known as an alternative in a sustainable crop rotation system; however,there is a lack of studies on the radiation use efficiency and gross protein in different cutting management.Therefore,the objective of this study is to determine the growth,the solar radiation use efficiency,and the gross protein content of sorghum forage submitted to different cutting management.
Material and Methods
The present study was conducted in the municipality of Frederico Westphalen - RS,at the Sete de Setembro line,at coordinates 27.2348°S,532545°E and altitude of 490 m.The experiment was conducted during the 2014 /2015 harvest,on the field of the experimental area of the Agroclimatology Laboratory,linked to the Federal University of Santa Maria,Frederico Westphalen Campus.According to the Köppen climate classification,the climate is Cfa,or humid temperate climate with hot summers(9).
The soil of the area belongs to the Passo Fundo mapping unit,classified as typical Oxisol,clayey,deep and well drained with the following physicochemical composition: water pH: 6.0; P (Mehlich): 3.0 mg dm-3; K: 160 mg dm-3; Ca: 6.2 cmolc dm-3; Mg: 3.3 cmolc dm-3; Al: 0.0 cmolc dm-3; CTC: 9.9 cmolc dm-3; Base saturation: 76% and organic matter: 3.1%.
The fertilization and liming were based on soil composition and recommendation manual(10).Pre-emerge fertilization consisted of 45 Kg ha-1 of nitrogen,in form of urea and 600 Kg ha-1 of superphosphate,and post-emerge fertilization was made by top dressing urea,with 50 Kg ha-1 in total area and 25 Kg ha-1 after each cut.
The experimental design used was unifactorial in random blocks (cutting management), varying from without cut to four cuts. Every treatment contained four repetitions,with dimensions of 7.5 m of length,6 m of width and spacing between lines of 0.7 m, making eight lines, in each experimental unit.
The seeding was carried out manually, five centimeters in depth, on January 5th,2015. A final population of the hybrid AG2501-C was used as recommended (150.000 plants ha-1),with a super-early cycle.After the emergence of the plants,sampling was taken every 15 days.The first sampling was carried out on January 22nd, 2015, and the last on August 21st, 2015.Dry mass was estimated after drying the samples in an oven with air circulation at 60 °C until constant weight.The sampling was taken until the stage of physiological maturity of the plants.
The plants cut was carried out at 15-20 cm from the soil,with a manual brushcutter,simulating the grazing and the cut material was removed from the site.The first cut was performed 44 days after sowing (DAS), the second one 23 days after regrowth, the third one 25 days after regrowth and the last one after 40 days of regrowth.
The solar radiation use efficiency was estimated by equation(3):
PFS = ɛb * PARi (1)
In which: ɛb = use efficiency of PARi in dry mass produced (g MJ-1); PFS
= dry mass (g); PARi = photosynthetically active radiation (MJ m-2).
The PAR was obtained by the equation(11):
PARi = 0.95 * (PARinc) * (1-e(-k * LAI)) (2)
where: PARi = photosynthetically active radiation intercepted (MJ m-2); k
= light extinction coefficient of culture considered 0.7(12); LAI = leaf area index; PARinc
= photosynthetically active radiation incident (MJ m-2).The photosynthetically active radiation was estimated considering 45% of the global solar radiation,according to the methodology(13).
The leaf area index was calculated from the equation:
LAI=LA/SA (3)
where: LA = leaf area (m2) and SA = soil area occupied by the plant (m2).
The leaf area of the plants was obtained by disks method,according to the equation:
LA=(N.of disks*leaker area)*((MS leaves+disks)
/(MS disks)) (4)
where: N.of disks = number of disks made per sample; leaf area
= leaf area (m2); MS leaves + disks = sum of leaves and disks dry mass (g); and MS disks
= dry mass of disks (g).
From the global incident radiation data (W m-2), measured in each sampling with a pyranometer (LICOR PY32164) coupled to the data logger (LICOR 1400), it was possible to calculate the global radiation interception (IRG)(14):
IRG=(Rad_sup-Rad_inf)/Rad_sup *100(%) (5)
in which: Radsup = Radiation on the upper canopy and Radinf
= Radiation on the lower canopy.
The gross protein (GB) was determined by the methodology described by(15). The dry mass of the
plant was separated in different morphological components and ground on a Willey mill. 0.200 g of
the sample was weighed and placed on a digestion tube identified. In a tube, 1 mL of H2O2, 2 mL of
H2SO4 conc. and 0.7 g of digestion mixture were added, in this order. The tubes were then placed in
a digestion block at 170 °C until the water evaporated. After this occurred, block temperature was
raised to 365 °C. After the samples acquired a green color, they remained at the digestion block for
another hour. After this time elapsed, the digester block was turned off and the tubes removed to cool
down. Then the tube was completed with distilled water up to 50 mL and pipetted to 10 mL of the
larger tubes, which were added 5 mL of NaOH (10M) and placed to distill immediately. It was
distilled to collect 40 mL in an Erlenmeyer flask containing the indicator solution. This volume was
titrated with 0.025 M H2SO4, and the volume of acid spent was verified. After these procedures the
N content was calculated by the equation:
%N=((Va-Vb)*0.025*2*5*14*100*F)
/(m*1000) (6)
in which: Va = Volume of acid spent (mL); Vb = Volume spent in white (mL); F
= acid correction factor,which in this case was 1.08; m = dry mass of sample (g).
To calculate the GP,the following equation was used:
GP = %N * 6.25 (7)
The meteorological data were obtained from the INMET Climatological Station (National Meteorological Institute),linked to the Agroclimatology Laboratory for characterization of the growth environment.The station is about 150 m from the site of study,under the coordinates 27.3956°S and 53.4294°W and is linked to the Agroclimatology Laboratory.
The data were submitted to analysis of variance and the means were compared by the Tukey test,at 5% probability of error,using the Statistical Analysis System(16).The solar radiation use efficiency was analyzed by regression equations by the same program.
Results and Discussion
The plants of the no-cut treatment presented a higher growth because they had a normal cycle and did not suffer any interference from the cutting management (Figure 1A).In the other treatments in which plants were submitted to cuts,the plants had a lower dry mass,due to having their cycle extended and being subjected to a period of growth with unfavorable conditions,low temperature,and less solar radiation availability.After the end of the crop cycle,the highest values of dry mass were found for the plants with 1 cut and 2 cuts.

Regarding the dry mass variable,the behavior of the tillers was very similar to the one of the mother plant: the treatments without cut and with one cut stood out from the other treatments,in most of the samples (Figure 1B).Few differences were observed in the dry mass of tillers of the plants submitted to 2, 3 and 4 cutting management.
As the number of cuts increased,the accumulated dry mass of the sorghum forage decreased (Figures 1C and 1D).This response may be related to the cutting intensity because it reduces the leaf area available,which stresses the plant.Since the leaf area is responsible for capturing solar energy,photosynthesis,and therefore dry mass production,the plant must recover after the cutting,which occurs after its regrowth,first through the plant reserves and then by the interception of solar radiation.The higher the number of cuts,the higher the damage and slower is the healing process.
The answer of plants to management cutting depends of its regrowth capacity,amount of tissue removed,and photosynthetic capacity of the still existing tissue after the cut(17).The removal of plant's leaf area and stress by cuts difficults the plant recovery ability.Cutting reduces the leaf area index (LAI) of plants,especially of the main plants (Figure 2A).

The cuts intensified the tillering process since its growth was stimulated by a greater solar radiation penetration into the canopy.The plant recovery and the material renewal may have contributed to the LAI increase of the tillers in these treatments because it was higher in cutting treatments and lower in no-cutting treatments (Figure 2B).The main plant kept the LAI values around 5 in no-cutting treatment,similar to the results of other studies(18).
The LAI increase is proportional to the amount of radiation intercepted(19).Thus,the radiation use efficiency was higher in no-cut and one-cut plants for both the main plants and tillers.The efficiency rates were respectively 8.432 g MJ-1 and 6.276 g MJ-1 for the no-cut treatment,and 5.078 g MJ-1 and 6.2799 g MJ-1 for the plants of the one-cut treatment (Figure 3).
These values are higher than 5.51 g MJ-1 for a cultivation cycle and 4.59 g MJ-1 to another,obtaining an average of the cycles of 4.96 g MJ-1 for the produced Sorghum in Spain(20). Sorghum, by presenting C4 photosynthetic mechanism,has a high ability to capture solar radiation, significantly contributing to the response of high radiation use efficiency.
Plants subjected to cuts were less efficient for solar radiation use to produce dry mass, which can be explained by a reduced photosynthetic rate, and therefore by dry mass reduction. Moreover,these plants were shorter, and higher plants tend to have a better leaf arrangement,and intercept and use solar radiation more efficiently(21). The plants without cut and with one cut grew higher than the others and,therefore,were more efficient in their use of the resulting diffuse radiation of the canopy,which corroborates the results found by(22).
The solar radiation use efficiency was higher in tillers in comparison with the main plants,except with plants without cut.This may represent a competition of tillers and main plant,in relation to the solar radiation interception,since the number of tillers increased proportionally with the number of cuts,and the radiation use efficiency presented an inverse variation.
Stress and foliar damage alter the distribution of assimilates,modifying the source-drain relationship(23).The wheat plant,focusing on grain production,when defoliated,directs its metabolites to the main plant(24).Sorghum,intended primarily for forage production,may have relocated the assimilates produced to the tillers,seeking a greater biomass production,which may have contributed to a greater radiation use efficiency.
The tillers obtained the higher light interception,and the higher LAI,since the LAI directly affects the light interception(25) and this may have made tillers more efficient in the use of radiation to compensate the cuts.The cuts may have generated changes in the morphological composition,as well as in the plant structure,which may have also contributed to the higher radiation use efficiency by tillers.
The maximum interception of solar radiation (IRG) was obtained by the two-cuts plants,72 days after the second cut.These plants reached almost 95% of interception of the total radiation incidence on the canopy (Figure 4) and at that time,the plant reaches its critical LAI,established at 5(26) (Figure 2B).In critical LAI,the plant reaches the maximum IRG,then even that increases the LAI,the IRG does not rise (27).The results of this study corroborate those by(26),considering that sorghum is quite similar to corn,which reaches the maximum IRG of 90% with the LAI around 5.

The interception of solar radiation starts with a very low value at the beginning of the crop growth,as a result of their low LAI.However,44 days after sowing,the IRG values increased,which also increased the LAI value (Figure 2) and the number of leaves of the plant,which resulted in a greater soil coverage and increased interception.Then in the plants without cut,the IRG was stabilized after a certain level of leaf expansion; even though LAI increases,the global radiation interception remains stable(28).
In general,the plants in the different treatments intercepted 87% of radiation until the first cut,which reduced the interception of solar radiation by 20%.Thus,it can be inferred that the plant required approximately 20 days to intercept large amounts of radiation again.This period,which is considered short,was favored by the rapid regrowth rates of these plants.The plants that were submitted to the second cut had IRG reductions that reached up to 33%.
The LAI is the main factor responsible for determining the solar interception rate of a culture(29).However, the radiation interception depends on other factors besides the LAI, such as the number, size and angle of leaves,the weather,and the management practices(30).
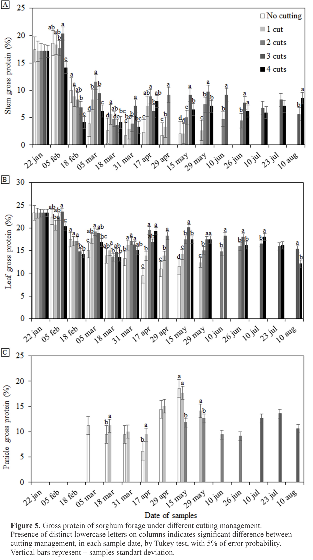
The gross protein values varied in the cutting management during the sorghum growth cycle,tending to decrease over the days of culture (Figure 5).However, after cuts,the values increased due to material replacement and increased digestibility.These results are in agreement with those obtained in another study(31).

It can be noticed,especially in the plants without cutting,which developed its normal cycle,that as the crop cycle advances,the gross protein values decrease.This happens because the vegetative stage has a higher leaf proportion and younger tissue since gross protein values decreased in older tissues(32,33).
The highest gross protein values were of the leaves and stems,result that agrees with the work by(34).From the fourth sampling,the plants submitted to cutting management normally had superior leaf and stem gross protein than the plants with no cut.This increase,resulting from the cuts,shows the importance of the management,renewing the plant material.
In addition to making these plants more acceptable by the animals,it increases its quality,resulting in the consumption of less forage,increasing farming efficiency.Since cuts reduce solar radiation interception due to the reduction of these plants' absorption area,this may have been a factor that contributed to the increase in gross protein.
Panicle gross protein was higher to plants with one cut and without cut because these plants shortened their cycle and produced more and higher panicles.
From these results, it is possible to recommend the use of sorghum forage,sowed in January,with a management of up to three cuts.This management enables a vigorous regrowth,with a number of days considered suitable and generating a high-quality material.
Conclusions
Therefore,for a sorghum forage crop,it is recommended to restrain the cutting management up to three times during the crop cycle,since it has the biomass potential production,and the cuts should be made at every 25 days,depending on the increase of dry mass.After that,the cut management should not be done,mainly due to the low radiation use efficiency,reduced dry mass accumulation,and low material quality.
References