DOI: 10.5216/cab.v11i1.2529
MATURAÇÃO TESTICULAR NA MANJUBA Curimatella lepidura
EIGENMANN & EIGEMNMANN, 1889 (PISCES, CURIMATIDAE) DA REPRESA DE TRÊS MARIAS, RIO SÃO FRANCISCO, BRASIL


Dalcio Ricardo de Andrade,1 William Cristiane Teles Tonini,2 Denilson Burkert,3
Hugo P. Godinho2 e Manuel Vazquez Vidal Jr.4

1. Professor LZNA/CCTA, UENF. E-mail: dalcio@uenf.br
2. Biólogo, mestre em zoologia e doutorando em nutrição e produção animal, UENF
3. Pesquisador científico da Agência Paulista de Tecnologia dos Agronegócios
4. Professor LZNA/CCTA, UENF.



RESUMO

Objetivou-se com este trabalho avaliar a maturação testicular da manjuba Curimatella lepidura. Para tanto, 318 exemplares machos foram capturados com redes de emalhar na represa de Três Marias, MG.  Submeteram-se os peixes a biometria de rotina, sendo dissecados e as vísceras pesadas individualizadas, para obtenção do índice gonadossomático (IGS) e do fator de condição de Fulton (K). A identificação dos estádios de maturação foi avaliada por meio de histologia das gônadas. A morfologia testicular mostrou-se semelhante à maioria dos Characiformes, e a atividade gonadal foi cíclica com período de repouso evidente. O IGS apresentou variação cíclica evidente, com valores mínimos no estádio 1 e máximos no estádio 2C/3, (2,5 ± 0,8). Os dados de fator de condição não apresentaram variação cíclica evidente, indicando que esse parâmetro não é um bom indicador reprodutivo para esta espécie. A espermiação ocorre entre os meses de dezembro e março.

PALAVRAS-CHAVES: Maturação gonadal, reprodução, represa de Três Marias, testículos.

ABSTRACT

TESTICULAR MATURATION IN THE MANJUBA Curimatella lepidura EIGENMANN & EIGEMNMANN, 1889 (PISCES, CURIMATIDAE) FROM THE TRÊS MARIAS RESERVOIR, RIVER SÃO FRANCISCO, BRAZIL

The aim of this study was to evaluate the testicular maturation in the manjuba Curimatella lepidura. For that, 318 males were collected from the Tres Marias Reservoir, Minas Gerais State, Brazil. These animals were sacrificed, and submitted to biometric routine, viscera were colleted and weighed, and then the data of gonadosomatic index (GSI) and condition factor (K) were obtained. The identification of maturation stages was evaluated by means of gonadal histology. The testicular morphology revealed to be similar to the majority of the Characiforms, and the gonadal activity was cyclical with period of evident resting. The GSI data presented an evident cyclical variation, with minimum in the stage 1 and maximum in the stage 2C/3 stage (2.5 ± 0.8). On the other hand, the data of condition factor did not presented an evident cyclical variation, indicating that this parameter is not a good reproductive indicator. The spermiation occurs from December to March.

KEY WORDS: Gonadal maturation, reproduction, Três Marias reservoir, testicles.

INTRODUÇÃO

O contínuo crescimento da população e das indústrias brasileiras tem gerado uma necessidade crescente de aumento da produção de energia e da capacidade de acumulação de água, tendo sido implantadas muitas hidroelétricas no país. Apesar de seus reconhecidos aspectos benéficos, as barragens hidroelétricas apresentam efeitos nocivos sobre o ambiente. Especialmente em relação à ictiofauna, elas interrompem as vias migratórias dos peixes reofílicos (ANDRADE & BRAGA, 2005) e destroem lagoas marginais (PAIVA, 1983).
Outro aspecto importante é que a barragem modifica o equilíbrio alimentar das espécies ícticas, favorecendo umas e prejudicando outras (GODINHO & GODINHO, 2003; ARAYA et al., 2005). O maior risco potencial do impacto antrópico reside sobre as espécies exclusivas de uma bacia, como o caso da manjuba, que, segundo alguns autores, é exclusiva do rio São Francisco.
Segundo BRANCO & ROCHA (1977), o próprio crescimento populacional e industrial, favorecido pelo barramento hidroelétrico, provoca aumento de resíduos poluidores que, fatalmente, serão carreados para a represa. Pouco se conhece sobre o comportamento biológico das espécies de peixes nativas e dos impactos que a construção de represas pode provocar na íctiofauna (SANTOS, 1986). Dessa forma, há, atualmente, diversos estudos que visam definir esses parâmetros com mais segurança, buscando conhecer melhor a biologia reprodutiva das espécies dentro destes ambientes modificados, que são as represas hidroelétricas (ALVARENGA et al., 2006; ANDRADE et al., 2006; SILVA et al., 2006).
A barragem de Três Marias que represa o alto Rio São Francisco foi construída com o objetivo de controlar períodos de cheias e produzir energia, e é área prioritária para a conservação da biodiversidade do Estado de Minas Gerais (GODINHO & GODINHO, 2003). Segundo SATO & OSÓRIO (1988), a pesca profissional nesta represa é feita principalmente com redes de emalhar e o número de pescadores profissionais é pequeno, sem que haja, entretanto, principalmente, controle da quantidade de pescado desembarcado. A manjuba, Curimatella lepidura, pertencente à família Curimatidae e ordem Characiformes, apresenta, na represa de Três Marias, grande importância biológica, por seu aspecto forrageiro.
A manjuba é considerada espécie de hábito alimentar detritívoro (POMPEU & GODINHO, 2003). Segundo GNERI & ANGELESCU (1951), os peixes detritívoros (ou iliófagos) têm um lugar preponderante na bioeconomia do ambiente aquático, podendo ser considerados como agentes transportadores-preparadores dos sedimentos. Do ponto de vista puramente econômico, as manjubas podem ser consideradas como peixes extratores-acumuladores, pois transformam o lodo em proteína corporal disponível para alimentação humana direta. A dieta desta espécie é composta basicamente por algas em decomposição e partículas inorgânicas (GOMES & VERANI, 2003).
Os aspectos da biologia reprodutiva da manjuba são pouco conhecidos, embora, de acordo com SATO et al. (2003) e ALVARENGA et al. (2006), a manjuba não necessita realizar migrações reprodutivas, podendo, portanto, completar seu ciclo de maturação gonadal em ambiente lêntico, como o da represa de Três Marias.
Objetivou-se com este trabalho determinar o ciclo reprodutivo anual de machos de manjubas (Curimatella lepidura) na represa de Três Marias (MG).

MATERIAL E MÉTODOS

Foram utilizados 318 exemplares machos de manjubas da represa de Três Marias, MG, rio São Francisco, MG, Brasil, capturados com redes de emalhar em Morada Nova (MG), no período de maio de 1982 a março de 1984.
No local de captura, foi procedida à biometria dos peixes, sendo mensurados o comprimento-padrão (CP) e o peso corporal (PC). Em seguida, após exposição das vísceras, mediante incisão ventral, determinaram-se, preliminarmente, o sexo e o estádio de maturação gonadal. Fixaram-se fragmentos retirados das gônadas esquerdas em líquido de Bouin por período de até 24 horas, para preservação de sua integridade.
Os exemplares, após serem identificados, foram embalados em sacos plásticos, acondicionados em caixas de isopor, contendo gelo, e, desse modo, levados para o Laboratório de Íctiologia do Departamento de Morfologia (ICB, UFMG).
Após dissecação, procedeu-se à determinação e anotação dos pesos em gramas da gônada (PG) direita, para o cálculo do índice gonadossomático (IGS); pesos de fígado (PF); estômago (PE); intestino (PI) e da gordura celômica ou abdominal (PGA), para cálculo do fator de condição K3. Os fragmentos das gônadas, fixados em líquido de Bouin, foram processados para inclusão em parafina. Mediante microtomia obtiveram-se cortes, de 7 µm de espessura, que foram corados com hematoxilina/eosina em lâminas permanentes. Com base no exame macroscópico e nas análises histológicas, classificaram-se os testículos em quatro estádios de maturação: repouso (estádio 1), maturação inicial (estádio 2A), maturação intermediária (estádio 2B), maturação avançada (estádio 2C), e esgotado (estádio 4).
Verificou-se a relação peso corporal–comprimento-padrão mediante análise do gráfico de dispersão, considerando-se o peso corporal como variável dependente e comprimento-padrão como variável independente, de acordo com a equação: PC = a x CPb, em que: PC = peso corporal, CP = comprimento-padrão,  a = intercept, b = coeficiente de regressão. A relação linear entre as variáveis foi demonstrada por meio de transformação logarítmica mediante a seguinte expressão: lnPC = lna + b.lnCP
O índice gonadossomático (IGS) foi obtido a partir da relação entre o peso das gônadas (PG) com o peso corporal (PC) do animal, como segue: IGS = (PG x 2/ PC) x 100.
Estabeleceu-se a relação entre o peso corporal e o comprimento-padrão (K1), para cada peixe, por meio da seguinte expressão: K1 = [PC/ (CPb)] x 100, em que: CP é o comprimento-padrão, PC é o peso corporal e “b” é o intercept. Para verificar a influência das gônadas sobre este índice, empregou-se a fórmula K2 = [{PC – (PG x 2)}/CPb ] x 100. Para verificar a influência do peso das vísceras sobre os mesmo índices, usou-se a fórmula K3 = [{PC – (PG x 2 +PF + PI + PGA)}/CPb] x 100.
Os dados foram submetidos à análise de variân­cia e comparados pelo teste “t” student  ao nível de 5% de probabilidade.

RESULTADOS E DISCUSSÃO

Os testículos de manjuba são órgãos pares, alongados e cordonais, situados na cavidade celomática, lateroventralmente à bexiga natatória, à qual se prendem por meio do mesórquio que os liga também à parede corporal. São, aproximadamente, do mesmo tamanho e seu aspecto varia de acordo com seu estádio funcional. Os testículos convergem uns para os outros na extremidade caudal e seus curtos ductos espermáticos extratesticulares se unem próximo do orifício urogenital. Apresentam-se envolvidos pela lâmina visceral da serosa peritoneal e por uma cápsula conjuntiva, a albugínea testicular, cuja espessura varia pouco ao longo do ciclo reprodutivo. Esta membrana emite septos para o interior do órgão, envolvendo os túbulos seminíferos e formando o conjuntivo intertubular, no qual se observam células musculares lisas, vasos sanguíneos, nervos, células e fibras conjuntivas e grupos de células intersticiais (de Leydig) com núcleo hialino e cromatina granular. Um feixe vascular nervoso percorre o testículo no sentido craniocaudal, emitindo ramificações vasculares que são abundantes no conjuntivo intertubular desse peixe.
A porção testicular do ducto espermático, de parede conjuntiva e revestimento interno de células semelhantes à célula de Sertoli, percorre a face ventral do testículo no sentido cranioventral.
Os túbulos seminíferos apresentam-se enovelados com diâmetro e lume variáveis ao longo dos estádios do ciclo reprodutivo. Esses túbulos apresentam membrana basal PAS positiva e, internamente, um revestimento formado por células de Sertoli. As células de Sertoli envolvem as células da linhagem espermatogênica, sob a forma de cistos. Um cisto pode ser formado por mais de uma célula de Sertoli, cujo núcleo é claro e apresenta um núcleo pequeno e excêntrico. Dentro do mesmo cisto, todas as células espermatogênicas encontram-se em idêntico estádio de desenvolvimento. Ao final do processo espermatogênico, os cistos se rompem e liberam os espermatozoides para o lume dos túbulos seminíferos. Esse padrão é semelhante ao descrito para outras espécies da família por QUAGIO-GRASSIOTO Curimatidaeet al. (2003).
Repouso (estádio 1): nesta fase os testículos são muito finos, na forma de filamento claro e levemente achatado. A parede dos túbulos seminíferos está ocupada por cistos de espermatogônias primárias e secundárias. É comum observarem-se túbulos com o lume parcialmente aberto e, eventualmente, com poucos espermatozoides residuais em final de reabsorção. O núcleo das células de Sertoli é facilmente identificado, envolvendo as espermatogônias, e o conjuntivo interlobular é abundante e vascularizado. As células intersticiais também são frequentes (Figura 1). O IGS, neste estádio, foi de 0,07±0,03, valor semelhante ao encontrado por LOIR et al. (2001), que encontraram valores menores que 0,2% em machos de Dentex dentex, entre um ciclo reprodutivo e outro. MATTA (1996) encontrou valores mínimos de IGS de 0,96±0,1 em machos de Oligosarcus argenteus, provavelmente em virtude da característica reprodutiva dessa espécie, que, segundo VAZZOLLER (1996), pode ser considerada um peixe que desova em mais de dois grupos, vindo a desovar o ano todo. Essa característica tende aumentar o IGS médio, quando comparadas com espécies que desovam em época definida do ano, assim como a manjuba.
Maturação inicial (estádio 2A): os testículos mostram-se mais largos e menos hialinos, assumindo coloração branca, levemente rosada. Histologicamente, observa-se início da atividade espermatogênica com aparecimento de cistos de espermatócitos primários que gradualmente predominam na parede tubular. As espermatogônias são abundantes e o lumem dos túbulos seminíferos encontra-se aberto e mais dilatado que no estádio anterior (Figura 2). O conjuntivo interlobular é evidente e bastante irrigado. O IGS tem valor de 0,20±0,11. Esse IGS foi semelhante ao descrito por PEREIRA (2003), que descreveu valores de 0,09±0,04 a 0,29±0,19 em Leporinus copelandii, no mesmo estádio de maturação.
Maturação intermediária (estádio 2B): os testículos aumentam em volume, tornando-se arredondados, densos e com coloração branco-avermelhada. A atividade espermatogênica torna-se muito acentuada e, nos túbulos seminíferos, além dos cistos de espermatócitos primários, ainda abundantes, há grande número de cistos de células em todas as fases do processo espermatogênico. Os espermatozoides, frequentes, começam a preencher o lume dilatado dos túbulos seminíferos e da porção intratesticular do ducto espermático (Figura 3). As espermatogônias, em menor quantidade que no estádio anterior, são observadas na parede tubular. O conjuntivo interlobular continua conspícuo e bem irrigado. O IGS neste estádio alcançou 0,78±0,31, inferior ao encontrado por UTOH et al. (2004), em Conger myriaster = 2,1±1,3 (classificado pelos autores como estádio 4, usando outra classificação), e ao encontrado por NAVARRO et al. (2006), relatando 3,31 em lambari prata, Astianax scabripinnis.
Maturação avançada/maduro (estádio 2C): é nesse estádio que as gônadas do peixe em estudo atingem seu desenvolvimento máximo. Os testículos são cordões volumosos, intumescidos e densos, com coloração rosada ou branco-avermelhada. Alguns exemplares, quando massageados na região lateroabdominal, vertem sêmen. Os espermatozoides, em grande quantidade, ocupam o lume amplo dos túbulos seminíferos e ducto espermático. Frequentemente os túbulos se fundem, levando à formação de grandes massas de espermatozoides (Figura 4). Espermatogônias e cistos de células em diferentes fases do processo espermatogênico ainda são notados. O conjuntivo tubular é fino e pouco destacado. Nesse estádio estão compreendidos também os peixes maduros.
O IGS apresentou média de 2,10 ± 0,61. O maior valor médio obtido por MATTA (1996), em Oligosarcus argenteus, foi de 2,23 ± 0,56, que é bastante similar ao encontrado em manjubas. Todavia, o máximo valor de IGS em Diplodus puntazzo foi de 1,1% (HERNANDEZ et al., 2004). Esses valores médios estão acima dos encontrados por ALVARENGA et al. (2006), que observaram IGS próximo de 0,7%, para a mesma espécie (Curimatella lepidura), em outro reservatório de Minas Gerais, demonstrando que, além de uma tendência espécie-específica para esse parâmetro, há também influência do estado nutricional da espécie.
Espermiado (estádio 4): a presença de testículos com diferentes graus de esvaziamento durante o período de reprodutivo indica que, em manjuba, a espermiação durante a reprodução se processa de modo intermitente. Isso faz com que o testículo em início de esvaziamento seja aparentemente semelhante àquele em maturação, podendo, no entanto, ser reconhecido pelo baixo valor de IGS e pela ocorrência de túbulos com lume amplo, com baixo número de cistos de células espermatogênicas e com espermatozoides residuais sendo fagocitados pelas células de Sertoli. Na fase mais avançada do processo de esgotamento testicular, essas gônadas tornam-se achatadas e exibem áreas claras, esvaziadas, e áreas densas, ainda com espermatozoides. Ocorre processo geral de retração dos túbulos seminíferos com consequente espessamento do conjuntivo intertubular. Ao mesmo tempo, ocorre intensa fagocitose de espermatozoides pelas células de Sertoli (Figura 5). Os espermatozoides residuais no lume do ducto espermático também estão sendo fagocitados por célula semelhante à célula de Sertoli. O valor do IGS para esse estádio foi de 0,57±0,34, valores próximos aos encontrados por POORTENAAR et al. (2001), em Seriola lalandi (classificado pelos autores como estádio M5).
As frequências mensais relativas dos cinco estádios de maturação gonadal estão apresentadas na Figura 6. Observa-se que peixes no estádio 1 (repouso) são muito frequentes nos meses compreendidos entre maio e setembro. A partir de setembro, verifica-se que começam a surgir exemplares nos estádios 2A e 2B, indicando início de maturação. Peixes no estádio 2C (maturação avançada/maduro) são observados principalmente nos meses de outubro, novembro e dezembro, após o qual se tornam frequentes os peixes no estádio 4 (espermiado total e parcial).
Esses dados, associados aos dados de fêmeas (ANDRADE, 1990), indicam que, provavelmente, a reprodução de C. lepidura ocorra entre outubro de um ano e janeiro do ano seguinte. Além disso, a descrição macroscópica, juntamente com o padrão histológico mensal das gônadas sugerem ser a manjuba um peixe de desova total.
O comportamento dos índices somáticos, em relação aos estádios de desenvolvimento testicular, pode ser observado na Figura 7. O índice gonadossomático (IGS) dos machos de manjuba aumentou do estádio 1 (repouso) até o estádio 2C (maturação avançada/maduro). O valor de IGS diminuiu no estádio 4 (espermiado) (Figura 7 A). Os fatores de condição (K1, K2 e K3) apresentaram variações semelhantes entre os diferentes estádios de maturação (Figura 7 B).
Isso indica que as vísceras e as gônadas pouco afetam a variação do fator de condição. TAVARES-DIAS el al. (2000), trabalhando com quatro espécies de peixes tropicais de água doce, também não encontraram grandes variações de fator de condição entre as espécies estudadas por eles, o que ressalta a baixa taxa de variação desse parâmetro. Entretanto, nota-se que, no K3, houve uma redução desproporcional nos indivíduos no estádio 1 (repouso), o que demonstra que a quantidade de vísceras em relação ao peso corpóreo é mais significativa no estádio de repouso.
Possivelmente isso ocorreu em função da maior ingestão de alimentos que ocorre fora do período reprodutivo, para recuperação da condição corporal, conforme descrito por ANDRADE et al. (2004) em Leporinus copelandii, que corroboram com os dados obtidos por HERMES-SILVA et al. (2004). Assim, sugere-se que a quantidade de vísceras interfira consideravelmente no valor do fator de condição, principalmente no estádio 1 (repouso), em que a gônada está pouco desenvolvida, como se pode confirmar através dos valores de IGS (Figura 7 A). Isso indica que o fator de condição K3 é mais eficaz para se identificar o estádio reprodutivo em Curimatella lepidura.
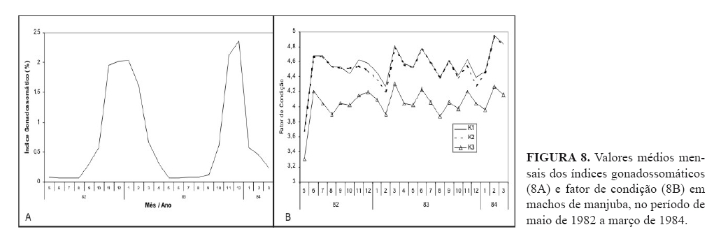
O comportamento mensal dos índices somáticos pode ser acompanhado nas Figuras 8 A e B. O índice gonadossomático (IGS) de machos (Figuras 8 A) mostrou variação cíclica evidente. Os valores mais altos ocorreram entre novembro e janeiro e os mais baixos, de modo geral, entre abril e setembro. No segundo ano de avaliação, percebe-se menor duração dos valores altos de IGS. Entretanto, conforme citado por MENEZES et al. (2000), em machos, as modificações macroscópicas de um estádio para o outro são menos acentuadas, podendo, inclusive, ocorrer sobreposição de dados, o que ressalta a importância da caracterização microscópica como uma ferramenta auxiliar para a determinação do estádio gonadal.
Embora o fator de condição esteja intimamente relacionado com o período reprodutivo dos peixes (VISMARA et al., 2004), uma vez que os animais gastam energia tanto para a maturação gonadal, quanto para o comportamento reprodutivo (corte e cópula na maioria das espécies), não foi observada variação cíclica evidente no caso de machos de C. lepidura (Figuras 8B), conforme também já havia sido observado por LOPES et al. (2000) em Leporinus friderici. Não foi observada relação evidente entre os fatores de condição e os demais índices.

CONCLUSÕES

O IGS se mostrou um bom sinalizador do perío­do reprodutivo, sendo que, após este período, o testículo volta ao estado de repouso. O fator de condição não se mostrou um bom indicador reprodutivo para machos de C. lepidura.

REFERÊNCIAS

ALVARENGA, E. R.; BAZZOLI, N.; SANTOS. G. B.; RIZZO, E. Reproductive biology e feeding of Curimatella lepidura (Eigenmann & Eigenmann) (Piscis, Curimatidae) in Juramento Reservoir, Minas Gerais, Brazil. Revista Brasileira de Zoologia, v. 23 n. 2, p. 314-322, 2006.

ANDRADE, D. R. ; PEREIRA, M. C. ; YASUI, G. S. ; VIDAL JR., M. V. ; SOUZA, G. ; COSTA, A. P. R.  Relação entre o índice de repleção estomacal e o estádio de maturação gonadal de machos de piaus-vermelhos (Leporinus copelandii) na bacia do baixo rio Paraíba do Sul. In: CONGRESSO DA SOCIEDADE BRASILEIRA DE AQUICULTURA E BIOLOGIA AQUÁTICA, 1., 2004, Vitória, ES. Anais... Vitória: Sociedade Brasileira de Aquicultura e Biologia Aquática. 2004. p. 238-238.

ANDRADE, D. R. Biologia reprodutiva da manjuba Curimatela lepidura. 1990. Tese (Doutorado em Morfologia) – Universidade Federal de Minas Gerais, UFMG, 1990.

ANDRADE, D. R.; PEREIRA, M. C.; VIDAL JÚNIOR, M. V.; COSTA, A. P. R.; YASUI, G. S. Acompanhamento de um ciclo reprodutivo anual em machos de piau-vermelho (Leporinus copelandii, Pisces, Anostomidae) em ambiente natural. Revista Ceres, v. 53, n. 305, p. 41-49, 2006.

ANDRADE, P. M.; BRAGA, F. M. S. Reproductive seasonality of fishes from a lotic stretch of the Grande river, high Paraná river basin, Brazil. Brazilian Journal Biology, v. 65, n. 3, p. 387-394, 2005.

ARAYA, P. R.; AGOSTINHO, A. A.; BECHARA, J. A. The influence of dam construction on a population of Leporinus obtusidens (Valenciennes, 1847) (Pisces, Anostomidae) in the Yacyretá Reservoir (Argentina). Fisheries Research, v. 74, p. 198-209, 2005.

Branco, s. m.; rocha, a. a. Poluição, proteção e usos múltiplos de represas. São Paulo: Edgard Blücher, CETESB, 1977. 185 p.

Gneri, f.; angelescu, n. La nutrición de los peces iliófagos. Revista do Instituto Nacional de Investigação Natural, Tomo II, n. 1. p. 1-45, 1951.

GODINHO, H. P.; GODINHO, A. L. Breve visão do São Francisco, In: Godinho, H. P.; Godinho, A. L. (Org.). Águas, peixes e pescadores do São Francisco das Minas Gerais. Belo Horizonte: PUC Minas, 2003. 468 p. p. 15-23.

GOMES, J. H. C.; VERANI, J. R. Alimentação de espécies de peixes do reservatório de Três Marias. In: Godinho, H. P.; Godinho, A. L. (Org.). Águas, peixes e pescadores do São Francisco das Minas Gerais. Belo Horizonte: PUC Minas, 2003. p. 195-227.

HERMES-SILVA, S.; MEURER, S.; ZANIBONI-FILHO, E. Biologia alimentar e reprodutiva do peixe-cachorro (Oligosarcus jenynsii Gunther, 1864) na região do alto rio Uruguai, Brasil. Acta Scientiarum, v. 26, n. 2, p. 175-179. 2004.

HErnández, M. D.; Egea, M. A.; Rueda, F. M.; Martínez F. J.; García García B. Seasonal condition and body composition changes in sharpsnout seabream (Diplodus puntazzo) raised in captivity. Aquaculture, v. 220 n. 4, p. 569-580, 2004.

Loir, m.; le gac, f.; somarakis, s.; pavlidis, m. Sexuality and gonadal cycle of the common dentex (Dentex dentex) in intensive culture. Aquaculture, v. 194, p. 363-381, 2001.

LOPES, C. A.; BENEDITO-CECILIO, E.; AGOSTINHO, A. A. The reproductive strategy of Leporinus friderici (Characiformes, Anostomidae) in the Paraná river basin: the effect of reservoirs. Revista Brasileira de Biologia, v. 60, n. 2, p. 255-266, 2000.

MATTA, S. L. P. Biologia reprodutiva de machos de lambari-prata, Oligosarcus argenteus Gunther, 1864 (Pisces: Characidae), em cativeiro. 1996. 117 f. Dissertação (Mestrado) – Universidade Federal de Viçosa, Viçosa, 1996.

Menezes, m. s.; takeuti, d. f.; aranha, j. m. r.; verani. J. r. Desenvolvimento gonadal de machos e fêmeas de Pseudotothyris obtusa (Ribeiro, 1911) (Loricariidae, Hypoptopomatinae). Acta Biológica, v. 29, n. 1, 2, 3, 4, p. 89-100, 2000.

NAVARRO, R. D.; SILVA, R. F.; RIBEIRO FILHO, O. P.; CALADO, L. L.; REZENDE, F. P.; SILVA, C. S.; SANTOS, L. C. Comparação morfométrica e índices somáticos de machos e fêmeas do lambari prata (Astayanax scabripinnis Jerenyns, 1842) em diferente sistema de cultivo. Zootecnia Tropical, v. 24, n. 2, p. 165-176, 2006.

Paiva, m. p. Impacto das grandes represas sobre o meio ambiente. Ciência e Cultura, v. 35, n. 9, p. 1274-1282, 1983.

PEREIRA, M. C. Biologia reprodutiva de machos de piau-vermelho Leporinus copelandii Steidachner, 1876 (PISCES, ANOSTOMIDAE) no baixo rio Paraíba do Sul, Estado do Rio de Janeiro. 2003. 68 f. Dissertação (Mestrado) – Universidade Estadual do Norte Fluminense, Campos dos Goytacazes, RJ, 2003.

POMPEU, P. S.; GODINHO, H. P. Ictiofauna de três lagoas marginais do médio São Francisco, p. 167-181. In: Godinho, H. P.; Godinho, A. L. (Org.). Águas, peixes e pescadores do São Francisco das Minas Gerais. Belo Horizonte: PUC Minas, 2003. p. 167-181.

Poortenaar, C. W.; Hooker, S. H.; Sharp, N. Assessment of yellowtail kingfish (Seriola lalandi lalandi) reproductive physiology, as a basis for aquaculture development  Aquaculture, v. 201, n. 3-4, p. 271-286, 2001.

QUAGIO-GRASSIOTTO, I.; GAMEIRO, M. C.; SCHNEIDER, T.; MALABARBA, L R; OLIVEIRA, C. Spermiogenesis and spermatozoa ultrastructure in five species of Curimatidae with some considerations on Characiformes spermatozoal ultrastructure. Neotropical Ictiology, v. 1, p. 35-45, 2003.

SANTOS, E. P. S. Estudos sobre a biologia de Leporinus piau Fowler, 1941 na represa de Três Marias, MG (Pisces, Ostariophysii, Anostomidae). 1986. 156 f. Dissertação (Mestrado) – Universidade Federal de São Carlos, São Carlos, 1986.

SATO, Y.; FENERICH-VERANI, N.; NUÑER, A.P.O.; GODINHO, H.P.; VERANI, J.R. Padrões reprodutivos de peixes da bacia do São Francisco. In: Godinho, H. P.; Godinho, A. L. (Org.). Águas, peixes e pescadores do São Francisco das Minas Gerais. Belo Horizonte: PUC Minas, 2003. p. 229-274.

Sato, y.; Osório, f. m. f. A pesca profissional na região de Três Marias, MG em 1086. Coletânea de resumos dos Encontros da associação Mineira de Aqüicultura (1982-1987). Brasília: CIDEVASF, 1988. 91 p.

SILVA, A. R. M.; SANTOS, G. B.; RATTON, T. Fish community structure of Juramento Reservoir, São Francisco River Basin, Minas Gerais, Brazil. Revista Brasileira de Zoologia, v. 23, n. 3, p. 832-840, 2006.

Tavares-dias, m.; Martins, m. l.; Moraes, f. r. Relação hepatossomática e esplenossomática em peixes teleósteos de cultivo intensivo. Revista Brasileira de Zoologia, v. 17, n. 1, p. 273-281, 2000.

Utoh, T.; Okamura, A.; Yamada, Y.; Tanaka, S.; Mikawa, N.; Akazawa, A.; Horie, N.; Oka, H. P. Reproductive cycle in reared male common Japanese conger, Conger myriaster. Aquaculture, v. 240, n. 1-4, p. 589-605, 2004.

VAZZOLER, A. E. A. de M. Biologia da reprodução de peixes teleósteos: teoria e prática. Maringá, EDUEM, SBI, 1996. 169 p.

Vismara, m. r.; benedito-cecilio, e.; faria, a. b. e. a. Efeito da maturação gonadal sobre o conteúdo calórico e condição geral de peixes da planície de inundação do alto rio Paraná. Acta Scientiarum, v. 26, n. 2, p. 189-199, 2004.



Protocolado em: 27 nov. 2007.  Aceito em: 14 dez. 2009.