
Revista Música Hodie, Goiânia - V.16, 209p., n.1, 2016
Ivan Eiji Simurra (AI/Universidade Estadual de Campinas, Campinas, SP, Brasil)
Jônatas Manzolli (Universidade Estadual de Campinas, Campinas, SP, Brasil)
Resumo: Trata-se do segundo Diário de Bordo relacionado a uma série de composições com o objetivo centrado na criação de obras a partir da análise de conteúdo espectral. Utilizamos tal metodologia para elaborar a obra “O azeite, a lua e o rio – numa ilha rodeada de ouro, com água até o joelho”, para flauta; clarinete e violoncelo (2013). Para ca- racterizar as sonoridades desejadas, desenvolveu-se um ambiente de programação em Pure Data, em conjunto com uma biblioteca de análise, via Descritores de Áudio, denominada PDescriptors. Com o auxilio do computador, reali- zamos diversos experimentos para avaliar uma variedade de configurações instrumentais relacionadas a sonoridades “rugosas”, “lisas” e com intensidades sonoras às quais variam de pianissimo a fortissimo. A pesquisa ratifica a aplica- ção de novas tecnologias computacionais tanto no processo criativo quanto em análise musical.
Palavras-chave: Composição musical; Composição musical assistida por computador; Timbre musical; Descritores de áudio; PureData.
“O azeite, a lua e o rio”: the second logbook of a composition via audio descriptors
Abstract: This article presents the second Logbook related to a series of compositions whose constructions were based on the digital analysis of spectral content. The procedure was applied in the preparation of the work “O azeite, a lua e o rio – numa ilha rodeada de ouro, com água até o joelho” for flute; clarinet and cello (2013). A programming environment was developed in PD, together with a sound analysis library using audio descriptors called PDescrip- tors. We performed several experiments to evaluate a variety of timbre settings, relating them to perceivable quali- ties of sounds such as “roughness” and “smoothness”, with intensities ranging from pianissimo to fortissimo. This second Logbook confirms not only the applicability but also the potential for innovation that an embedding of such technologies in both the creative process and musical analysis may entail
Keywords: Music composition; Computer-Assisted composition; Musical timbre; Audio descriptors; PureData
“O azeite, a lua e o rio”: el segundo libro de registro de una composición a través de descriptores de audio
Resumen: Este artículo presenta el segundo Libro de registro relacionada con una serie de composiciones cuyas construcciones se basaron en el análisis digital de contenido espectral. El procedimiento se aplicó en la preparación de la obra “O azeite, a lua e o rio – numa ilha rodeada de ouro, com água até o joelho” para flauta; clarinete y violon- chelo (2013). Para caracterizar los sonidos deseables, desarrollado un entorno de programación Pure Data, junto con un análisis de la biblioteca a través de descriptores de audio, llamadas PDescriptors. Se realizó varios experimentos para evaluar una variedad de entornos tímbricos, relacionándolos con perceptible cualidades de sonidos como “ru- gosidad” y “suavidad”, con intensidades que van desde el pianissimo al fortissimo. Este Segundo Libro de registro confirma no sólo la aplicabilidad, sino también el potencial de innovación de que una incrustación de este tipo de tecnologías, tanto en el proceso creativo y análisis musical puede conllevar
Palabras clave: Composición musical; Composición musical asistida por ordenador; Timbre musical; Descriptores de audio; PureData.
Inseridas na problemática acerca do timbre em composição musical, as áreas de pesquisa em Composição Assistida por Computador, Computação Musical, Processamen- to de Áudio Digital e outras áreas do conhecimento, oferecem ferramentas significativas para a análise e descrição do fenômeno sonoro. Os insumos técnicos, desenvolvidos pela tecnologia musical, podem ser uma prerrogativa muito eficaz quando aplicados à compo- sição musical. Tal afirmação torna-se ainda mais relevante quando se trata da composição que apoia seu discurso no timbre musical. Nesse sentido, descrevê-lo é, de fato, interpretá-
-lo nas suas diversas relações paramétricas. Em consonância com esse ponto de vista, ve-
Revista Música Hodie, Goiânia - V.16, 209p., n.1, 2016 Recebido em: 03/02/2016 - Aprovado em: 24/04/2016
rifica-se que há uma preocupação cada vez mais acentuada, em trabalhos composicionais desenvolvidos, principalmente, a partir do final do século XIX e decorrer do século XX, com a obtenção de resultados timbrísticos mais refinados e particulares, tanto no âmbi- to do planejamento quanto na realização instrumental/vocal. Como apontado por Barrière em seu trabalho acerca da importância do timbre no pensamento composicional, corrobo- ram para com esse cenário contemporâneo a obra de compositores como Mahler, Wagner, Debussy, Varèse, Messiaen, Ligeti, Stockhausen, Tristan Murail, dentre outros (BARRIE- RE, 1991). Em contrapartida, em diversas subcategorias da indústria do entretenimento so- noro, utilizam-se procedimentos técnicos para descrever as características de um sinal de áudio como, por exemplo, reconhecer padrões melódicos e da fala (MAUCH et al., 2011), (RAFII & PARDO, 2012), (BOULANGER-LEWANDOWSKI et al., 2013). No âmbito dos re-
cursos técnicos de assistência aos trabalhos de produção musical Scott e Kim (SCOTT & KIM, 2013) propuseram um método de mixagem automática a partir da identificação das características timbrísticas de instrumentos musicais. Byrd e Fingerhut (2002) utilizam re- cursos de processamento digital de sinais para extrair características do espectro do som. Tais medidas são denominadas “Descritores de Áudio” na literatura especializada da área. Como já descrevemos em (SIMURRA & MANZOLLI, 2015), utilizamos essa pesquisa em Music Information Retrieval ou MIR, como suporte à escrita de música instrumental. Es- te artigo versa sobre a aplicação dessa pesquisa na composição de uma obra camerística. Apresentamos os métodos de planejamento composicional da obra “O azeite, a lua e o rio
– numa ilha rodeada de ouro, com água até o joelho” (2013), para flauta; clarinete/clarone e violoncelo. A estreia dessa obra foi realizada, em concerto, durante a 14º Conferência da International Society for Music Information Retrieval, em Curitiba, Paraná.1 Esse é o segun- do Diário de Bordo relacionado a uma série de composições que visam à construção de so- noridades utilizando-se recursos de Análise e Orquestração Musical Assistida por Com- putador.2 A construção de um campo para explorar material timbrístico, tal como descrito neste artigo, relaciona-se diretamente ao ponto de vista teórico apresentado pelo musicó- logo Makis Solomos (SOLOMOS, 2013). A tese de Solomos versa sobre a problemática da “emergência do timbre, da dissonância e da introdução de ruído” na música, especialmente, em obras produzidas a partir do século XX. Ele enfatiza que novos parâmetros de caracte- rização sonora conduziram a novos paradigmas de Escuta e de composição musical, com os quais o som define-se como o agente principal de uma obra musical. A esse som, descri- to conceitualmente por Solomos, associamos o termo sonoridade, tal como apresentado por Didier Guigue (GUIGUE, 2011), para conduzir o planejamento e a realização da composição aqui apresentada. Em sua “Estética da Sonoridade”, Guigue analisa como alguns composi- tores Debussy, Lachenmann e Crumb, dentre outros, abordaram a problemática do timbre em composições elaboradas para piano solo. A obra descrita neste artigo parte do planeja- mento de sonoridades contrastantes, denominadas aveludadas e rugosas e da variação de suas intensidades em diferentes âmbitos de dinâmica. Iniciamos nosso projeto com a pro- posta de quatro variações: a) sonoridades aveludadas, com pouca intensidade; b) sonorida- des rugosas, com pouca intensidade; c) sonoridades rugosas, com acentuada intensidade e;
d) sonoridades aveludadas, com acentuada intensidade. O segundo passo foi encontrar os Descritores de Áudio que se relacionassem com as mesmas. Utilizando as referências da literatura (JENSEN, 1999; THIEDE, 1999; FUJISHIMA, 1999), pudemos inferir que os des- critores que melhor se inseririam ao nosso planejamento seriam: Irregularidade Espectral, Loudness e Croma Espectral. Na Seção 2, discutiremos melhor esse processo. Em resumo, o processo criativo aqui relatado, centrou-se em dois universos: a) as técnicas de execução instrumental estendidas e b) as ferramentas computacionais para analisar e descrever es-
tatisticamente o conteúdo espectral do material gerado por tais técnicas. Assim, desenvol- vemos um método para auxiliar o compositor a relacionar: a) as descrições de alto nível ou simbólicas, aqui denominadas de sonoridades, com b) os modos específicos de execução instrumental estendida. Nas próximas seções elucidamos o nosso modelo composicional, apresentando os seus objetivos principais (Seção 1). A seguir, recapitulamos a literatura so- bre os Descritores de Áudio, com o objetivo de contextualizar a utilização que fazemos dos mesmos no nosso estudo (Seção 2). Na Seção 3, descrevemos os conceitos-chave do proces- so criativo de “O azeite, a lua e o rio”, o qual foi constituído de quatro etapas: a) definição das características timbrísticas a partir dos descritores; b) Pontos de Referência; c) Misturas Sonoras e d) transcrição das combinações simuladas nas Misturas Sonoras na partitura. A Seção 4 discute a relação entre Pontos de Referência e Misturas Sonoras, a variedade de técnicas estendidas associadas aos descritores e respectivas dinâmicas as escolhas feitas pelo compositor no processo de transcrição. Na Seção conclusória, fazemos projeções fu- turas e concluímos o artigo.
O conceito composicional da obra, centrou-se nas particularidades contrastantes das quatro variações de sonoridades descritas na Seção introdutória. Esperávamos produ- zir uma mescla refinada do material sonoro tomando como ponto de partida um conjun- to de técnicas estendidas de execução instrumental de três instrumentos. Esse processo criativo produziu diversas relações entre o material sonoro descrito a partir da análise dos descritores, configurações instrumentais e, finalmente, nas transcrições da partitura. O processo apoiou-se nos conceitos definidos em (SIMURRA; MANZOLLI, 2015), a saber:
a) Pontos de Referência, são as características timbrísticas potenciais associadas aos Des- critores de Áudio, as quais definem o campo macroestrutural da composição e b) Mistu- ras Sonoras, simulações computacionais que geram arquivos de áudio, com o objetivo de ampliar as possibilidades de mistura instrumental. Nas Misturas Sonoras, sobrepomos registros de áudio de diversos modos de ataque, articulações e técnicas estendidas ins- trumentais. Os registros que utilizamos pertencem ao banco de dados sonoros compila- do por Ballet et al. (BALLET et al., 1999). Em resumo, o método utilizado para elaborar a obra concentrou-se nas seguintes etapas: 1) Definir sonoridades características e buscar os Descritores de Áudio congruentes com as mesmas; 2) Estabelecer os Pontos de Referên- cia; 3) Realizar simulações computacionais com registros sonoros para gerar misturas e interpolações entre os Pontos de Referência. Tais experimentos foram denominados como Misturas Sonora e; 4) Efetuar escolhas entre as misturas e interpolações para o processo de transcrição na obra. A extração de dados para as Etapas 1 e 3, relativos aos dados dos descritores “Irregularidade Espectral” e de “Loudness” foram realizadas com a biblioteca PDescriptors, desenvolvida por Monteiro (2012) no Núcleo Interdisciplinar de Comunica- ção Sonora - NICS/UNICAMP.
A partir da variação no tempo e do espectro de frequências, os descritores de áu- dio são ferramentas analíticas que representam características do sinal musical em curvas unidimensionais. Desta forma, reduz-se a complexidade da informação ao focar-se aspectos
específicos. Como apontado por Rimoldi, embora tenham caráter reducionista em relação ao objeto analisado, os descritores de áudio são ferramentas úteis para criar uma taxonomia de características do conteúdo espectral do sinal musical (RIMOLDI, 2013 pg. 01). Essas po- dem ser correlacionadas e, não necessariamente, equivalentes aos atributos subjetivos da percepção sonora, tais como “brilho”, “opacidade”, “rugosidade”, “ruidosidade”, “maciez”, dentre outros. Fizemos um levantamento de referências que nos auxiliaram no processo composicional. Theodoridis (THEODORIDIS & KOUTROUMBAS, 2009) relaciona o descri- tor denominado Centroide com a variação entre brilho e opacidade do som. Brent (BRENT, 2010) associa rugosidade e maciez com o descritor denominado irregularidade. O Croma foi apontado por Bartsch e Wakefield (BARTSCH & WAKEFIELD, 2001) como o descritor que associa a representação do espectro de frequência em classes de alturas musicais. Zwicker e Scharf (ZWICKER & SCHARF, 1955) relacionam o Loudness com a descrição da magnitu- de das frequências sonoras, percebidas pelo ouvido humano. Para subsidiar as definições que se seguem, é necessário definirmos a “Transformada de Fourier de Tempo Curto” (Short Time Fourier Transform ou STFT). A explicação desse procedimento foge ao escopo desse artigo mas há vasta publicação sobre o assunto (OPPENHEIM et al., 1989), (ROADS, 2004) e (SHEH & ELLIS, 2003). Apresentamos a seguir a STFT descrita na Equação 1, pois essa de- finição será útil para as outras que se seguem.
Equação 1
Equação 1
![]()
Onde k indexa o eixo de frequência (bin) dentro do intervalo 0 <k <N - 1 do nésimo
quadro; w[m] é uma janela de N amostras.
Loudness
Segundo Fletcher e Munson (FLETCHER & MUNSON, 1933), “Loudness” é um termo psicológico para descrever a magnitude da sensação auditiva de variação de inten- sidade. Os atributos subjetivos para medir a intensidade sonora, tais como “muito alto”, “alto”, “moderadamente alto”, “moderadamente baixo”, “baixo” e “muito baixo” são corre- lacionados com termos musicais como fortissimo, forte, ‘mezzoforte’, mezzopiano, piano e pianíssimo. Mas esses termos não são absolutos nem tampouco unívocos para mensurar a capacidade de percepção humana de intensidade sonora. Diversos estudos propuseram modelos para descrever o comportamento do sistema auditivo com relação ao Loudness (ZWICKER & SCHARF, 1965), (FLORENTINE et al., 1978), (MIŚKIEWICZ & RAKOWSKI,
1994), (THIEDE, 1999), (PLOMP, 2001). Musicólogos já utilizaram os modelos da percepção do Loudness, em seus trabalhos (COLLINS, 2005), (EINBOND, 2005) e (BULLOCK, 2008). Outro ponto importante a ressaltar, a percepção de intensidade sonora varia de acordo com a frequência, ou seja, a percepção de intensidade varia com o registro. Esse comportamen- to psicoacústico é descrito pelas curvas de Fletcher e Munson (FLETCHER & MUNSON, 1933). A Figura 1 apresenta as curvas de audibilidade, que são denominadas de Curvas de Iso-Loudness.

Figura 1: Curvas de audibilidade relacionando Loudness com a percepção de frequências sonoras em Hz.
Dentro do âmbito da obra “O azeite, a lua e o rio”, utilizamos como referência o tra- balho de Thiede (THIEDE, 1999). O pesquisador destaca que a percepção sonora pode ser descrita a partir de cinco etapas, distribuídas em dois módulos distintos. O primeiro mo- delo é relacionado às estruturas fisiológicas do ouvido humano, nas quais as informações sonoras, do meio externo, são convertidas em impulsos elétricos, para comunicação neural. O segundo é relacionado às propriedades cognitivas que realizam o reconhecimento de di- versos padrões para recuperar a informação sonora. A Figura 2 sintetiza as etapas discuti- das pelo pesquisador.

Figura 2: Síntese das etapas do processo auditivo.
No seu texto, o modelo proposto é finalmente representado por uma curva de corre- ção na qual considera-se a relação de frequência e intensidade sonora, a partir do trabalho de Fletcher e Munson (FLETCHER & MUNSON, 1933) descrito na Figura 1. Essa correção, é dada na Equação 2:
Equação 2
Equação 2
Segundo Pereira (PEREIRA, 2009, p. 19-20), a Equação 2 descreve uma função de ponderação a qual atenua ou enfatiza as componentes espectrais, de acordo com o compor- tamento auditivo. A frequência f(k) é medida em Hz, dada por f(k) = k*d. A variável d é a di- ferença entre duas linhas espectrais consecutivas, dado em Hz. Dessa forma, o Loudness de um quadro de análise espectral, em relação a STFT é dado pela Equação 3, a seguir:
Equação 3
Equação 3
Onde |Xi[k]| representa a magnitude da késima componente espectral da iésima janela;
K é a metade de número de amostras da janela de análise.
Como apontado por Krimphoff et al., (KIMPHOFF et al., 1994), a Irregularidade Espectral apresenta-se como um atributo perceptivo fundamental para identificar sonori- dades, separar e distinguir instrumentos musicais. Essa medida relaciona-se com o com- portamento do envelope espectral que é uma curva que caracteriza a variação das magni- tudes das componentes de frequência. Contornos suaves, com pouca alternância de picos espectrais e, consequentemente, com baixo índice de irregularidade, caracterizam sonori- dades aveludadas e lisas. Inversamente, contornos com maior presença de picos espectrais e com alto índice de irregularidade espectral, caracterizam-se por sonoridades rugosas e estriadas. Para detalhar as considerações expostas no parágrafo anterior, a Figura 3 apre- senta dois instrumentos distintos, clarinete e violoncelo, executando a mesma nota musi- cal Lá#, com a dinâmica musical forte ou f. Nota-se que o clarinete possui o valor médio de irregularidade espectral maior (Figura 3a) que o violoncelo, o qual possui comportamento mais difuso mas com valor médio menor de irregularidade espectral (Figura 3b). Do pon- to de vista do descritor, o clarinete é mais rugoso e estriado que o violoncelo, mais avelu- dado e suave.

b)
Figura 3: Análise da média de Irregularidade Espectral de dois instrumentos executando a mesma altura e a mesma dinâmica musical. (a) Análise do Clarinete, em Sib; (b) Análise do Violoncelo.
O maior valor da média de irregularidade espectral, extraído do clarinete, pode ser justificado pelo comportamento das componentes espectrais, o qual constitui o seu enve- lope espectral. Pelas características acústica e física do instrumento, o clarinete apresenta maior energia entre os seus componentes ímpares. A Figura 4 apresenta o comportamento dos picos espectrais do instrumento.

Figura 4: Envelope Espectral do clarinete.
Há também trabalhos que utilizaram o descritor de irregularidade espectral co- mo ferramenta de análise à composição musical. O pesquisador e compositor Luka Mikula (MIKULA, 2008) desenvolveu uma interface de controle de síntese sonora utilizando, den- tre outros descritores, a irregularidade espectral. Os pesquisadores Bullock e Conservatoi- re (BULLOCK & CONSERVATOIRE, 2007) compuseram uma obra para piano e eletrônica, em tempo real, na qual as manipulações e os processamentos sonoros eram extraídos pelos descritores de áudio. Para o particular caso da obra “O azeite, a lua e o rio”, utilizou-se o al- goritmo implementado por Jensen (JENSEN, 1999), apresentado pela Equação 4:
Equação 4
Equação 4

onde |Xi [k]| representa a magnitude da késima componente espectral da iésima janela; K é me- tade do número de amostras da janela de análise.
![]()
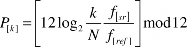
Utilizamos os conceitos e as definições do descritor Croma Espectral (o qual será denominado apenas de Croma no restante do artigo), tais como já apresentados em trabalho anterior (SIMURRA & MANZOLLI, 2015). O Croma é caracterizado pela distribuição esta- tística que acumula as magnitudes do espectro de Fourier em bandas fixas de frequência. Essas podem referir-se às classes de alturas da escala cromática. O modelo perceptivo do Croma baseia-se na pesquisa de Shepard (SHEPARD, 1982), no qual há duas características importantes para o reconhecimento de hierarquias de alturas musicais: a) a configuração rotacional denominada de Croma ou “Pitch Class”, definida como a equivalência das altu- ras musicais independente do seu registro ou oitava; O algoritmo de análise do Croma uti- liza a ponderação log2 para a relacionar-se com a segunda característica b) a equivalência de escala em oitavas e desta forma destacar a contribuição das componentes harmônicas de cada altura musical. Para as 12 notas da escala cromática, os componentes harmônicos são calculados pelo valor inteiro módulo 12 em relação à frequência fundamental. Com isso, os bins k de uma STFT, como apresentado na Equação 1, são relacionadas com os P[k] do Cro- ma da seguinte forma:
Equação 5
Equação 5
onde fsr = frequência de amostragem, fref = frequência de referência à qual, pela convenção desse algoritmo, estabelece o valor de 440 Hz para a classe da nota Lá4. A variável N refere-
![]()
-se ao tamanho da janela de análise da transformada de Fourier. O valor 12 na Equação 5 está associado às notas da escala cromática. Esse valor deverá ser modificado no caso que outras subdivisões temperadas, como por exemplo: o valor 24 para quarto de tom e 36 para sexto de tom. A partir da Equação 5, são calculados os valores da distribuição do Croma os quais são dados pela soma das magnitudes de todos os bins de frequência P[k] que corres- pondem a cada uma das classes de alturas:
Equação 6
Equação 6
onde: j é o índice relacionado à resolução das classes de alturas. Para semitom j = 0, 1, ..., 11, quartos de tom j = 0, ..., 23 e para sexto de tom j = 0, ..., 35. Os valores do somatório variam dentro dos índices determinados pela Equação 5. A Figura 5 apresenta o esquema geral do algoritmo do Croma, segundo o diagrama de Fujishima (FUJISHIMA, 1999):

Figura 5: Esquema geral do algoritmo do Croma.
Durante o processo de pesquisa para a realização de O azeite, a lua e o rio, as si- mulações instrumentais, analisadas pelo Loudness e pela Irregularidade Espectral também foram analisadas pelo Croma. Tais análises forneceram dados do ponto de vista de alturas musicais, como apresentado nesta Seção 2.3. Utilizamos tais resultados para elaborar as es- truturas melódicas e motívicas3 da obra. As alturas musicais, de maior e menor índices de energia, foram utilizadas em ritmos mais estáticos e articulados, respectivamente. Na Seção
3.3 Transcrição, discutiremos, com mais detalhes, os procedimentos de utilização do Cro- ma no processo de escrita da obra.
As próximas subseções descrevem as etapas dos procedimentos composicionais elaboradas na obra. Na primeira sessão, descrevemos como construímos os Pontos de Refe- rência e segue a simulação Misturas Sonoras cuja variedade de combinações instrumentais produziram a paleta de opções sonoras utilizadas no processo de transcrição. Como já co- mentamos na seção anterior, a primeira etapa do planejamento composicional da obra con- centrou-se em relacionar as características das sonoridades de partida com dois descritores: Irregularidade Espectral e Loudness. Como definido em Brent (BRENT, 2010), utilizamos a Irregularidade Espectral para descrever sonoridades suaves ou aveludados em contraposi- ção com estriadas ou rugosas. No que se refere ao Loudness, como mencionado em Cassidy e Smith (CASSIDY & SMITH, 2008), o relacionamos com a percepção de intensidade sonora.
Partimos de quatro Pontos de Referência os quais definiram a trajetória inicial da obra por intermédio da manipulação da Irregularidade Espectral e do Loudness. Os quatro pontos são os seguintes: Ponto de Referência 1: Pequeno Loudness e Pequena Irregularida- de; Ponto de Referência 2: Pequeno Loudness e Grande Irregularidade; Ponto de Referência 3: Grande Loudness e Grande Irregularidade e; Ponto de Referência 4: Grande Loudness e Pequena Irregularidade. Os Pontos de Referência configuraram-se como os pontos de bali- zamento da trajetória timbrística da obra. A Tabela 1 ilustra o planejamento estabelecido:
Tabela 1: Pontos de Referência a partir das Sonoridades definidas acima.

Ponto de Referência | Irregularidade | Loudness |
1 | 0.32 | 0.05 |
2 | 1 | 0.45 |
3 | 0.79 | 1 |
4 | 0.11 | 0.67 |
Os 04 Pontos de Referência foram realizados empiricamente, em sua essência, a partir do banco de amostras sonoras digitais (BALLET et al., 1999). Nesses experimentos, utilizamos as técnicas instrumentais, altura4 e dinâmicas musicais para relacioná-las com os Pontos de Referência. Essas são apresentadas na Tabela 2. No Exemplo 1, apresentamos a transcrição dos quatro Pontos de Referência, implementados na escritura de “O azeite, a lua e o rio”.
Tabela 2: Tabela com indicações de técnicas de execução, alturas e dinâmicas musicais para os quatro Pontos de Referência de “O azeite, a lua e o rio”.
Pontos de Referência | Flauta | Clarinete/Clarone | Violoncelo |
1 - menor Loudness e menor irregularidade | Whistle Tone, Fá6, pp | Ordinario, Lá5, pp | Alto Sul Tasto, Si3, pp |
2 - menor Loudness e maior irregularidade | Nota + Voz, Fá#4, mf | Aeolian Sound, Si4, pp | Col Legno Tratto, Ré#2, mf |
3 - maior Loudness e maior irregularidade | Aeolian Sound + Nota, Lá6, ff | Multifônico, Ré4, mf | Arco Overpressure, Ré2, mf |
4 - maior Loudness e menor irregularidade | Senza Vibrato, Fá#4, mf | High Register, Lá6, ff | Alto Sul Ponticello, Ré2, mf |


b)
c)
d) 
Exemplo 1: Transcrição dos quatro Pontos de Referência, em “O azeite, a lua e o rio”.
Estabelecidos os 04 Pontos de Referência, o próximo passo concentrou-se em reali- zar simulações computacionais, para ampliar as possibilidades de combinações instrumen- tais tomando como ponto de partida as técnicas instrumentais, alturas e dinâmicas musi- cais, estabelecidas anteriormente nos Pontos de Referência. Da mesma forma, as Misturas Sonoras (MS) foram geradas com registros sonoros digitais de diversos modos de ataque, articulações e técnicas estendidas instrumentais. No total, realizamos 07 simulações com as Misturas Sonoras. As alterações em técnicas estendidas, dinâmicas e alturas musicais foram ponderadas pelos critérios estéticos e pela experiência do próprio compositor. Desta forma, foi possível encontrar outras possibilidades e desenvolver um mecanismo de inter- polação entre os Pontos de Referência (PR). Entre os PRs 1 e 2 inserimos mais 04 MS. Entre os PRs 2 e 3, inserimos 01 MS. Por fim, entre os PRs 3 e 4 inserimos mais 02 MS. O diagra- ma da Figura 6 sintetiza as o processo de interpolação relacionando os PR (1, 2, 3, 4) com os MS (1, 2, 3, 4, 5, 6, 7).
![]()
Figura 6: Diagrama de Bloco do planejamento composicional de “O azeite, a lua e o rio”.
A Tabela 3 apresenta a técnica instrumental, dinâmica e instrumento relacionados com cada Mistura Sonora. No Exemplo 2, apresentamos a transcrição das Misturas Sonoras na partitura de “O azeite, a lua e o rio”.
Tabela 3: Tabela com indicações de técnicas de execução, alturas e dinâmicas musicais para as sete Misturas Sonoras de “O azeite, a lua e o rio”.
Misturas Sonoras | Flauta | Clarinete/Clarone | Violoncelo |
Mistura Sonora I | Whistle Tone, Fá#6, pp | Ordinario, Lá4, p | Sul Tasto, Ré#3, p |
Mistura Sonora I | Nota + Som eólico, Fá5, pp | Frullato, Lá6, mf | Sul Tasto, Tremolo, Si2, mf |
Mistura Sonora III | Multifônico, Dó5, mf | Frullato, Ré3, mf | Arco Overpressure, Ré3, mf |
Mistura Sonora IV | Nota + Voz, Dó5 + Si5, ff | Multifônico, Sib3, f | Arco Overpressure, Fá#3, mf |
Mistura Sonora V | Multifônico, Fá#5, mf | Ordinario, Lá2, f | Sul Ponticello, Dó#5, mf |
Mistura Sonora VI | Bisbigliando, Mi5, mf | Frullato, Fá3, ff | Sul Ponticello, Ré#5, ff |
Mistura Sonora VII | Ordinario, Fá4, ff | Ordinario, Si2, mf | Harmônico Artificial, Lá#6, mf |







b) c) d)
e) f) g)
Exemplo 2: Excertos das sete Misturas Sonoras, implementadas em “O azeite, a lua e o rio”.
Definidas todas as sonoridades da composição, aplicamos um método de trans- crição musical relacionado as possibilidades obtidas com as Misturas Sonoras. Para tan- to, analisamos as sonoridades dos 04 Pontos de Referencia e 07 Misturas Sonoras com o Croma (vide Seção 2.3). Partimos do princípio que as diversas técnicas estendidas e as mis- turas instrumentais ressaltam ou inibem a presença de determinadas alturas em função de sua configuração timbrística. Utilizando o histograma com as 12 alturas do Croma, é possível obter o valor relativo de cada classe de altura. O procedimento é exemplificado a seguir em dois exemplos nos quais utilizamos o Croma para transcrição melódica e motí- vica da obra. No primeiro exemplo apresentamos o Croma da Mistura Sonora I. A Figura 7 apresenta o histograma das 12 classes de alturas, no qual ressaltam-se as notas Fá, Si, Lá, Ré, Sol e Dó:

Figura 7: Croma da Mistura Sonora I.
O excerto, apresentado pelo Exemplo 3 demonstra a aplicação dos dados extraídos do Croma no desenvolvimento composicional da obra. Observa-se que as notas musicais mais proeminentes, tais como o tetracorde Si, Ré, Fá, Sol e Dó, assim como as notas com me- nor índice de energia, como Sol# e Mi, foram utilizadas em durações mais longas e menos articuladas ritmicamente:

Exemplo 3: Excerto da utilização dos dados no Croma da Mistura Sonora I.
O outro exemplo é relativo ao Ponto de Referência 3. A Figura 8 apresenta os se- guintes dados extraídos do Croma:

Figura 8: Croma do Ponto de Referência 3.
Da mesma forma, no excerto apresentado pelo Exemplo 4, observa-se que as notas musicais mais proeminentes, tais como Sol#, Lá, Lá#, Si e Dó, assim como a nota Fá, com o menor índice de energia, foram utilizadas em durações mais longas e menos articuladas ritmicamente:

Exemplo 4: Excerto da utilização dos dados do Croma no Ponto de Referência 1.
Ao determinar o material melódico, a partir do Croma, estabelecemos a coesão do resultado composicional da obra com as sonoridades estipuladas pelos descritores de irre- gularidade espectral e Loudness. Na Seção 4, discutimos a variedade de informações musi- cais, como as técnicas estendidas e as respectivas dinâmicas associadas aos dados descri- tores de áudio.
O artigo apresentou uma metodologia para orquestração assistida por computador na qual descrições de alto nível foram relacionadas à execução instrumental para caracte- rizar, via descritores de áudio, duas tipologias de sonoridades: sons lisos ou rugosos e di- ferentes intensidades sonoras, respectivamente relacionados, aos descritores Loudness e Ir- regularidade espectral. Posteriormente, analisamos cada um dos 04 Pontos de Referência e das 07 Misturas Sonoras com o descritor Croma, com a quais elaboramos as estruturas me- lódicas da obra. Para análise dessa Seção, todos os dados coletados foram normalizados no intervalo [0, ..., 1]. Como apresentados na Seção 3.2, elaboramos quatro sonoridades estru- turais, às quais denominou-se como Pontos de Referência. A Seção 3.3 apresentou as etapas à elaboração de experimentos sonoros, denominados como Misturas Sonoras. Tais sonori- dades interpolaram os Pontos de Referência. A Tabela 4, apresenta o gráfico com a trajetória dos PR’s, representados pela linha cinza, e das MS’s, representadas pela linha preta.
Tabela 4: Gráfico com a trajetória dos Pontos de Referência e das Misturas Sonoras.

Sonoridades | Pontos de Referência | Misturas Sonoras | ||
Irregularidade | Loudness | Irregularidade | Loudness | |
1 | 0.32 | 0.05 | 0.032 | 0.05 |
2 | 0.36 | 0.07 | 0.36 | 0.22 |
3 | 0.39 | 0.09 | 0.39 | 0.11 |
4 | 0.67 | 0.26 | 0.67 | 0.32 |
5 | 0.72 | 0.29 | 0.72 | 0.32 |
6 | 1 | 0.45 | 1 | 0.45 |
7 | 0.94 | 0.61 | 0.82 | 0.61 |
8 | 0.79 | 1 | 0.79 | 1 |
9 | 0.45 | 0.83 | 0.45 | 0.63 |
10 | 0.39 | 0.80 | 0.39 | 0.43 |
11 | 0.11 | 0.67 | 0.11 | 0.67 |
Tanto a Tabela 2 quanto a Tabela 3 demonstraram como as técnicas instrumentais, as alturas e as dinâmicas musicais relacionam-se com as características timbrísticas extra- ídas com os descritores de áudio. A Tabela 5, sintetiza as informações simbólicas de todas as sonoridades implementadas na obra:
Tabela 5: Tabela com todas as sonoridades implementadas em “O azeite, a lua e o rio”.
Sonoridades | Flauta | Clarinete/Clarone | Violoncelo |
1 - Ponto de Referência 1 | Whistle Tone, Fá6, pp | Ordinario, Lá5, pp | Alto Sul Tasto, Si3, pp |
2 - Mistura Sonora I | Whistle Tone, Fá#6, pp | Ordinario, Lá4, p | Alto Sul Tasto, Ré#3, p |
3 – Mistura Sonora II | Nota + Som eólico, Fá5, pp | Frullato, Lá6, mf | Alto Sul Tasto, Tremolo, Si2, mf |
4 – Mistura Sonora III | Multifônico, Dó5, mf | Frullato, Ré3, mf | Arco Overpressure, Ré3, mf |
5 – Mistura Sonora IV | Nota + Voz, Dó5 + Si5, ff | Multifônico, Sib3, f | Arco Overpressure, Fá#3, mf |
6 - Ponto de Referência 2 | Nota + Voz, Fá#4, mf | Aeolian Sound, Si4, pp | Col Legno Tratto, Ré#2, mf |
7 – Mistura Sonora V | Multifônico, Fá#5, mf | Ordinario, Lá2, f | Alto Sul Ponticello, Dó#5, mf |
8 - Ponto de Referência 3 | Aeolian Sound + Nota, Lá6, ff | Multifônico, Ré4, mf | Arco Overpressure, Ré2, mf |
9 – Mistura Sonora VI | Bisbigliando, Mi5, mf | Frullato, Fá3, ff | Alto Sul Ponticello, Ré#5, ff |
10 – Mistura Sonora VII | Ordinario, Fá4, ff | Ordinario, Si2, mf | Harmônico Artificial, Lá#6, mf |
11 - Ponto de Referência 4 | Senza Vibrato, Fá#4, mf | High Register, Lá6, ff | Alto Sul Ponticello, Ré2, mf |
Às próximas subseções, discutiremos os resultados obtidos com a metodologia apli- cada em “O azeite, a lua e o rio”.
Com relação ao Loudness, a obra inicia-se com sonoridades de menor intensidade e termina em sonoridades de maior intensidade. A Figura 9, descreve a variação do Loudness arquitetada na obra. Como planejado inicialmente, seu clímax localiza-se no Ponto de Re- ferência 3.

Figura 9: Análise de Loudness de cada sonoridade em “O azeite, a lua e o rio”. As 11 barras do histograma estão associadas aos 4 Pontos de Referência e às 7 Misturas Sonoras.
Para detalhar a variação de Loudness no resultado timbrístico da obra, a Mistura Sonora IV, representada pela quinta barra da Figura 9, possui a seguinte configuração ins- trumental: flauta executando as notas Dó5 e Sol5, em dinâmica musical fortissimo. O Pon- to de Referência 3, o qual apresenta o maior índice de Loudness, a flauta desenvolve-se em uma região mais aguda, Lá6 mas com a mesma dinâmica musical da Mistura Sonora IV, fortissimo. Para a percepção de igual intensidade, em todas as regiões do espectro de frequ- ência, será necessário um aumento de energia nas regiões extremas, tanto as mais graves quanto as mais agudas. Como destacado na Seção 2.3, a curva Fletcher e Munson mostra que a percepção de intensidade varia com as frequências, sons complexos, tais como os pro- duzidos pela mistura de instrumentos musicais, alteram tanto a percepção de intensidade quanto à percepção de suas características espectrais.
O planejamento composicional da obra inicia-se e encerra-se com sonoridades ave- ludadas. O seu clímax localiza-se no Ponto de Referência 2, no qual atinge o maior índice de irregularidade, resultante na percepção subjetiva de sonoridades rugosas. A Figura 10 demonstra o comportamento de cada sonoridade a partir do ponto de vista do descritor.

Figura 10: Histograma com os dados das análises do descritor de irregularidade espectral.
Relacionamos a Tabela 5 com o histograma da Figura 10. Nas sonoridades iniciais e finais, de 1 a 3 e de 9 a 11, respectivamente, percebe-se a presença de determinadas técni- cas instrumentais, de cuja percepção resulta em sonoridades aveludadas e delicadas. Essas, referem-se aos “bisbigliandos” e aos “whistle tones”, nas madeiras e aos arcos em “sul tasto” e em “sul ponticello”, no violoncelo. Já o intervalo compreendendo as sonoridades 4 e 8, in- dica a correlação entre o índice de irregularidade e a presença de determinadas técnicas es- tendidas, de cuja resultante relaciona-se com a presença de ruído sonoro instrumental. As técnicas utilizadas referem-se, principalmente, aos “multifônicos”, nas madeiras, e na téc- nica de “bowing overpressure” ou “forte pressão de arco”, no violoncelo. Apresentamos, no Exemplo 5, as técnicas utilizadas para controlar e alterar o timbre instrumental, de acordo com as características descritas anteriormente.



b) c)
Exemplo 5: Transcrição de três sonoridades com diferentes índices de irregularidade: a) Irregularidade Baixa; b) Irregularidade Alta e; c) Irregularidade Baixa.
Do ponto de vista de cada descritor de áudio, destacamos, no histograma de análi- se de Loudness, Figura 9, uma variação crescente até a sonoridade 08. Em contrapartida, o histograma de análise da irregularidade espectral, Figura 10, apresenta uma curva de cujo ápice localiza-se na sonoridade 06.
Como descrito na subseção 3.4, utilizamos as informações do descritor de áudio Croma para elaborar as estruturas melódicas de “O azeite, a lua e o rio”. As alturas musicais com maiores índices de energia, assim como as alturas com menores índices foram dispos- tas com maior destaque na obra. Tais estruturas, derivadas a partir da análise do Croma, interpolaram as sonoridades implementadas na obra. O diagrama da Figura 11 apresenta o fluxo das quatro primeiras etapas do planejamento composicional, relacionando as sonori- dades com o Croma espectral:

Figura 11: Diagrama de Bloco das quatro primeiras etapas do planejamento composicional, relacionando as Sonoridades com os dados extraídos pelo Croma.
Posteriormente, analisamos todas as sonoridades, do ponto de vista do Croma. Tal procedimento revelou a pertinência de cada altura musical na construção timbrística de ca- da uma. Elaboramos a Tabela 6 associando os valores extraídos do croma para cada uma das 12 classes de alturas das 11 sonoridades. As gradações associadas aos quadrados bran- cos e pretos, indicam os valores da pertinência de cada classe de altura. Os valores foram normalizados no intervalo [0, ..., 1]. A variação de cinza está associada respectivamente ao valor mínimo “zero” para quadros pretos e o valor máximo “um” para quadros brancos.

Tabela 6: Tabela com o Croma das 11 sonoridades. As linhas são associadas às classes de altura e as colunas às sonoridades.
Num segundo momento de análise, podemos descrever a média de energia acumu- lada nas 12 classes de altura do Croma. Com tal procedimento, teremos uma ideia global de como os componentes espectrais estão correlacionados na obra. Calculamos o valor da mé- dia de cada classe de altura, com relação a todas as sonoridades utilizadas na obra. O histo- grama da Figura 12, apresenta o resultado.

Figura 12: Histograma com a média das magnitudes das classes de altura de “O azeite, a lua e o rio”.
Apesar da Tabela 4 indicar, para cada sonoridade, diferentes alturas musicais com maior índice de energia, o valor da média apresentado na Figura 12 revela uma polarização do tetracorde Fá, Lá, Si e Dó ou o acorde de Fá Maior com Quarta Aumentada. Ao utilizar-
-se o descritor Croma no processo composicional, relacionou-se as classes de alturas com as técnicas estendidas. Criou-se uma relação direta do conteúdo do espectro sonoro com as representações simbólicas utilizadas na transcrição da partitura. A paleta sonora foi am- pliada com as técnicas de execução contrastantes, como nas regiões graves e agudas, e com
as diversas possibilidades de inserção de sons não idiomáticos dos instrumentos musicais. O procedimento utilizado revela-se uma alternativa consistente para elencar os dados es- pectrais, intrínsecos às características timbrísticas regidas pelo Loudness e pela irregula- ridade, com a trajetória harmônica e melódica da obra. Adotou-se, portanto, um método no qual os descritores de áudio participaram ativamente e de maneira fundamental junto às estruturas formais, ao longo de toda a obra.
Apresentamos um estudo sobre a aplicação de Descritores de Áudio em orquestra- ção assistida por computador, visando a composição de uma obra para flauta, clarinete/cla- rone e violoncelo. A motivação de “O azeite, a lua e o rio – numa ilha rodeada de ouro, com água até o joelho” concentra-se no estudo de técnicas MIR como ferramenta para criação musical. Tal abordagem integra a pesquisa de doutorado, em desenvolvimento, no NICS/ UNICAMP. A metodologia, aqui apresentada, versou sobre o planejamento de sonoridades, de cuja característica mais proeminente consiste em transformações timbrísticas, às quais foram ancoradas em três descritores de áudio: Loudness e Irregularidade Espectral e Croma Espectral. Assim, partindo de dois universos: as técnicas de execução instrumental esten- didas e os descritores de áudio, propriamente ditos, desenvolvemos um método para auxi- liar o compositor a relacionar descrições de alto nível com modos específicos de execução instrumental estendida. De uma maneira sucinta e generalizada, o trabalho relacionou o Modelo Composicional, previamente estabelecido e apresentado na Seção 2 com a Seção 5, acerca da análise e Discussão dos resultados obtidos. A partir da utilização do Loudness, conseguimos analisar diversos materiais sonoros e obter resultados com os quais se relacio- nam com sonoridades de menor e maior intensidade. Os parâmetros musicais mais correla- cionados com as mudanças de Loudness são as regiões de oitava com a qual cada nota é exe- cutada e as dinâmicas musicais, como por exemplo pp, p, mp, mf, f, ff, etc. De acordo com a análise a partir da irregularidade espectral, podemos verificar que as diferentes técnicas de execução musical alteram a percepção timbrística de cada sonoridade analisada. Técnicas instrumentais às quais caracterizam-se pela inserção de ruído instrumental tendem a se re- lacionar com sonoridades rugosas e estriadas. Inversamente, para sonoridades aveludadas e lisas, utiliza-se determinadas técnicas instrumentais para resultar em sonoridade mais lim- pas e claras, como whistle tones, nas flautas. Na análise utilizando o Croma espectral, veri- ficamos a polarização do tetracorde Fá, Lá, Si, Dó, o qual foi a base da estrutura melódica da obra. Utilizamos os resultados das análises extraídas do Croma, de cada sonoridade, para elaborar a escritura composicional da obra. Ao restringir as construções melódicas, a partir dos resultados do Croma, tivemos maior liberdade criativa e estética para elaborar o desen- volvimento composicional da obra. O trabalho apresentado relaciona-se diretamente com a pesquisa iniciada em (SIMURRA & MANZOLLI, 2015), na qual propôs-se em criar novos estudos composicionais, do ponto de vista de sonoridades particulares, a partir da análise de dados objetivos de diferentes técnicas estendidas instrumentais. Concluímos que os mé- todos utilizados para a elaboração dos materiais composicionais nos dois Diários de Bordo, são inovadores e de grande interesse para a comunidade especializada na área de composi- ção musical de cujo foco concentra-se no timbre musical. O trabalho de pesquisa possibili- tou o diálogo da análise formal e estatística do fenômeno sonoro com as definições concei- tuais, estéticas e subjetivas com as quais o compositor pode se utilizar para o seu processo de composição e escritura musical. Não obstante, pretendemos ampliar e dar continuidade
ao estudo em duas direções: a) continuar criando novos estudos composicionais nos quais possamos explorar outras sonoridades e b) ampliar a análise dos resultados utilizando tam- bém os Descritores de Áudio.
1 Para mais informações, acessar: http://ismir2013.ismir.net/accepted-music-works/. Data de acesso: 18/12/2015
2 O primeiro artigo da série discutiu os métodos e as estratégias composicionais da obra “Lana Tai – no dia em que nasceu uma aquarela”. Para mais informações, ver (SIMURRA & MANZOLLI, 2015)
3 Em Música, o termo “motivo” indica uma unidade musical melódica ou rítmica que reaparece no decorrer da composição. É um fragmento recorrente, perceptível ou saliente. Uma sucessão de notas das quais podem ser utilizadas para construir melodias ou temas.
4 Utilizamos a convenção de notação de cujo número associado com a nota musical relaciona-se com a sua posi- ção, organizada em oitavas musicais. Pela convenção, a nota Dó4, de frequência sonora igual a ~261Hz, é escrita na primeira linha complementar inferior na clave de sol.
BALLET, Guillaumme; BORGHESI, Ricardo; HOFFMANN, Peter; LÉVY, Fabien. Studio onli- ne 3.0: An internet “killer application” for remote access to ircam sounds and processing tools. Journée d’Informatique Musicale, 1999, CEMAMU - Centre de Mathématique et Automatique Musicales, Paris, p. 123-132.
BARRIÈRE, Jean-Baptipte. Le Timbre: métaphore pour la composition. Christian Bourgois Ed., 1991, 563 p.
BARTSCH, Mark; WAKEFIELD, Gregory. To catch a chorus: Using chroma-based representa- tions for audio thumbnailing. Applications of Signal Processing to Audio and Acoustics, 2001 IEEE Workshop on the. IEEE, 2001. Disponível em: <https://www.ee.columbia.edu/~dpwe/pa- pers/BartW01-chorus.pdf>. Acesso em: 12 fev 2016.
BOULANGER-LEWANDOWSKI, Nicolas; BENGIO, Yoshua; VINCENT, Pascal. Audio chord recognition with recurrent neural networks. In ISMIR, pages 335-340, 2013. Disponível em:
<http://ismir2013.ismir.net/wp-content/uploads/2013/09/243_Paper.pdf>. Acesso em: 12 fev 2016.
BRENT, William. Physical and perceptual aspects of percussive timbre, 2010, PhD Thesis, University of California, 2011, 174 p.
BULLOCK, Jamie. Implementing audio feature extraction in live electronic music. PhD thesis, PhD thesis, University of Birmingham, 2008. 260 p.
BULLOCK, Jamie. Libxtract: A lightweight library for audio feature extraction. In Proceedings of the ICMC, volume 43, 2007. Disponível em: <http://quod.lib.umich.edu/cgi/p/pod/dod-idx/libx- tract-a-lightweight-library-for-audio-feature-extraction.pdf?c=icmc;idno=bbp2372.2007.116>. Acesso em: 12 fev 2016.
BYRD, Donald; FINGERHUT, Michael. The history of ismir–a short happy tale. D-Lib Magazi- ne, v. 8, No. 11, 2002. Disponível em: <http://www.ismir.net/texts/Byrd02.html.> Acesso em: 12 fev 2016.
CASSIDY, Ryan; SMITH, Julius. O. Psychoacoustics lab activity, 2008. Disponível em: <https:// ccrma.stanford.edu/~jos/psychoacoustics/psychoacoustics.pdf>. Acesso em: 12 fev 2016.
COLLINS, Nick. An automated event analysis system with compositional applications. In Pro- ceedings of the International Computer Music Conference (ICMC), 2005, Barcelona, Espanha, p 1-4.
EINBOND, Aaron. Composer as curator: Uncreativity in recent electroacoustic music, EMS14 – Electroacoustic Music Beyond Concert Performance, Berlin. 2005. p. 1-7. Disponível em: <http:// www.ems-network.org/IMG/pdf_EMS14_einbond.pdf>. Acesso em: 12 fev 2016.
FLETCHER, Harvey; MUNSON, Wilden. Loudness, its definition, measurement and calcula- tion. Bell System Technical Journal, v. 12, Issue 4, 1933, p. 377-430.
FLORENTINE, Mary; BONDING, Per. Loudness of complex sounds as a function of the stan- dard stimulus and the number of components. Acoustical Society of America Journal, 1978. Disponível em: <http://orbit.dtu.dk/files/3569838/Buus.pdf>. Acesso em: 12 fev 2016.
FUJISHIMA, Takuya. Realtime chord recognition of musical sound: A system using common lisp music. In Proc. ICMC, Quebec, Canada, 1999, p. 464-467.
GUIGUE, Didier. Estética da sonoridade: a herança de Debussy na música para piano do século
XX. Editora Perspectiva, 1 Ed., 2011, 424 p.
JENSEN, Kristoffer. Timbre models of musical sounds. PhD thesis, Department of Computer Science, University of Copenhagen, 1999. 248 p.
KRIMPHOFF, Jochen; McADAMS, Stephen; WINSBERG, Suzanne. Caractérisation du tim- bre des sons complexes. analyses acoustiques et quantification psychophysique. Le Journal de Physique IV, 1994. p. 1-5. Disponível em: <https://hal.archives-ouvertes.fr/jpa-00252811/docu- ment>. Acesso em: 12 fev 2016.
MAUCH, Matthias; FUJIHARA, Hiromasa; YOSHII, Kazuyoshi; GOTO, Masataka. Timbre and melody features for the recognition of vocal activity and instrumental solos in polyphonic mu- sic. In Proceedings of the 12th International Society for Music Information Retrieval - ISMIR, 2011, p. 233-238.
MIKULA, Luka. Concatenative music composition based on recontextualisation utilising rhythm-
-synchronous feature extraction, PhD Thesis, Institute of Electronic Music and Acoustics, Uni- versity of Music and Dramatic Arts, Graz, Austria, 2008. 163 p.
MIŚKIEWICZ, Andrej; RAKOWSKI, Andrej. Loudness level versus sound-pressure level: A comparison of musical instruments. The Journal of the Acoustical Society of America, v. 96, Issue 6, 1994. p. 3375-3379.
MONTEIRO, Adriano. Criação e performance musical no contexto dos instrumentos musicais digitais. Dissertação de Mestrado. Universidade Estadual Campinas – UNICAMP, 2012. 159 p.
OPPENHEIM, Alan; SCHAFER, Ronalde; BUCK, John. Discrete-time signal processing, v. 2. 3. ed. Prentice-hall Englewood Cliffs, 1989. 1120 p.
PEREIRA, Erica. Estudos sobre uma ferramenta de classificação musical. Campinas, Dissertação de Mestrado, Faculdade de Engenharia Elétrica e Computação. Universidade Estadual de Cam- pinas, 2009. 65 p.
PLOMP, Reinier. The intelligent ear: On the nature of sound perception. Psychology Press, 2001. 184 p.
RAFII, Zafar; PARDO, Bryan. Music/voice separation using the similarity matrix. In Interna- tional Society for Music Information Retrieval, 13, Porto Portugal, 2012. p. 583-588. Disponível em: <http://music.cs.northwestern.edu/publications/Rafii-Pardo%20-%20Music-Voice%20Se-
paration%20using%20the%20Similarity%20Matrix%20-%20ISMIR%202012.pdf>. Acesso em: 12 fev 2016.
RIMOLDI, Gabriel. Modelagem interativa aplicada à síntese e espacialização no domínio micro- temporal. Master’s thesis, Núcleo Interdisciplinar de Comunicação Sonora. Universidade Esta- dual Campinas – UNICAMP, 2012. 121 p.
ROADS, Curtis. Microsound. MIT press. 1 Ed., 2004. 424 p.
SCOTT, Jeffrey; Kim, Youngmoo. Instrument identification informed multi-track mixing. In In- ternational Society for Music Information Retrieval, 14, Curitiba, Brazil, ISMIR, 2013, p. 305-310.
SHEH, Alexander; ELLIS, Daniel. Chord segmentation and recognition using em-trained hid- den markov models. In International Society for Music Information Retrieval, ISMIR, 4, Wa- shington, USA, 2003, p. 185-191.
SHEPARD, Roger. Structural representations of musical pitch. The psychology of music, 1. ed. Swets & Zeitlinger, 1982, p. 343-390.
SOLOMOS, Makis. De la musique au son: l’émergence du son dans la musique des XIXe-XXIe si_cles. 1. ed. Presses universitaires de Rennes, 2013. 1287 p.
THEODORIDIS, Sergios; KOUTROUMBAS, Kostantinos. Pattern Recognition. Academic press, 3. ed. 2009. 967 p.
THIEDE, Thilo. Perceptual Audio Quality Assessment Using a Non-linear Filter Bank: Gehrbe- zogene Qualit_tsbewertung Von Audiosignalen Unter Verwendung Einer Nichtlinearen Filter- bank. Mensch-&-Buch-Verlag, Berlin, 1999. 167p. Disponível em: <http://www.mp3-tech.org/ programmer/docs/scriptHF021.pdf>. Acesso em: 12 fev 2016.
ZWICKER, Eberhard; SCHARF, Bertham. A model of loudness summation. Psychological Re- view, v. 72, n. 3, p. 3-26, 1965.
![]()
Ivan Eiji Simurra - Compositor e pesquisador, realiza manipulações eletrônicas em Música Pop (DJ). Bacharel em Composição Musical e Mestre em Processos Criativos no Instituto de Artes - IA/UNICAMP, com o financiamento da FAPESP e CAPES - FAPESP, respectivamente. Atualmente, desenvolve sua pesquisa de doutorado em Processos Criativos no IA/UNICAMP e Núcleo Interdisciplinar de Comunicação Sonora - NICS/UNICAMP, com o financia- mento da FAPESP e sob a orientação do Prof. Dr. Jônatas Manzolli. A pesquisa de doutoramento desenvolve-se sob o título: “Composição Musical com o suporte de descritores de áudio”. Professor de Harmonia, Teoria, Estruturação e Composição Musical, desenvolve projetos relacionados com composição de música instrumental, ciência, tecno- logia e análise musical com auxílio do computador. Participou de diversos festivais, masterclasses e workshops. Obteve prêmios por suas composições durante a Bienal de Música Brasileira Contemporânea – FUNARTE e no III Concurso Internacional de Composição Musical, em Tomsk/Rússia. Ademais, suas obras são executadas no Brasil, Argentina, Chile, Estados Unidos, Israel e Rússia.
Jônatas Manzolli - Graduado em Matemática Aplicada Computacional (1983) e em Composição e Regência (1987) e é mestre em Matemática Aplicada (1988) ambos pela Uncamp. Desenvolveu seu doutorado (PhD) na University of Nottingham (1993) sobre Composição Musical. Atualmente é Professor Titular do Instituto de Artes da Unicamp e Coordenador do Núcleo Interdisciplinar de Comunicação Sonora (NICS). Compositor e matemático, pesquisa a in- teração entre Arte e Tecnologia em criação musical, computação musical e ciências cognitivas. Atua no programa de pós-graduação em Música com ênfase em Processos Criativos e Fundamentos Teóricos em Música e Tecnologia. Suas publicações focam, principalmente, os seguintes temas: composição musical, síntese de som, auto-organiza- ção e criatividade sonora, ambientes interativos para composição, modelos matemáticos e computação evolutiva aplicados a processos sonoros. Sua produção artística relaciona música instrumental, eletroacústica, obras multi- mídia para dança e instalações sonoras.
![]()